Poslední aktualizace :
27/04/2026
Priešgrybelinis vaistas   Amphotericin B liposomale  
Įpurškimas
Akių lašai
Tirpalų stabilumas Mišinių stabilumas Stabilumą lemiantys veiksniai Suderinamumas Leidimo būdai Bibliografija pdf
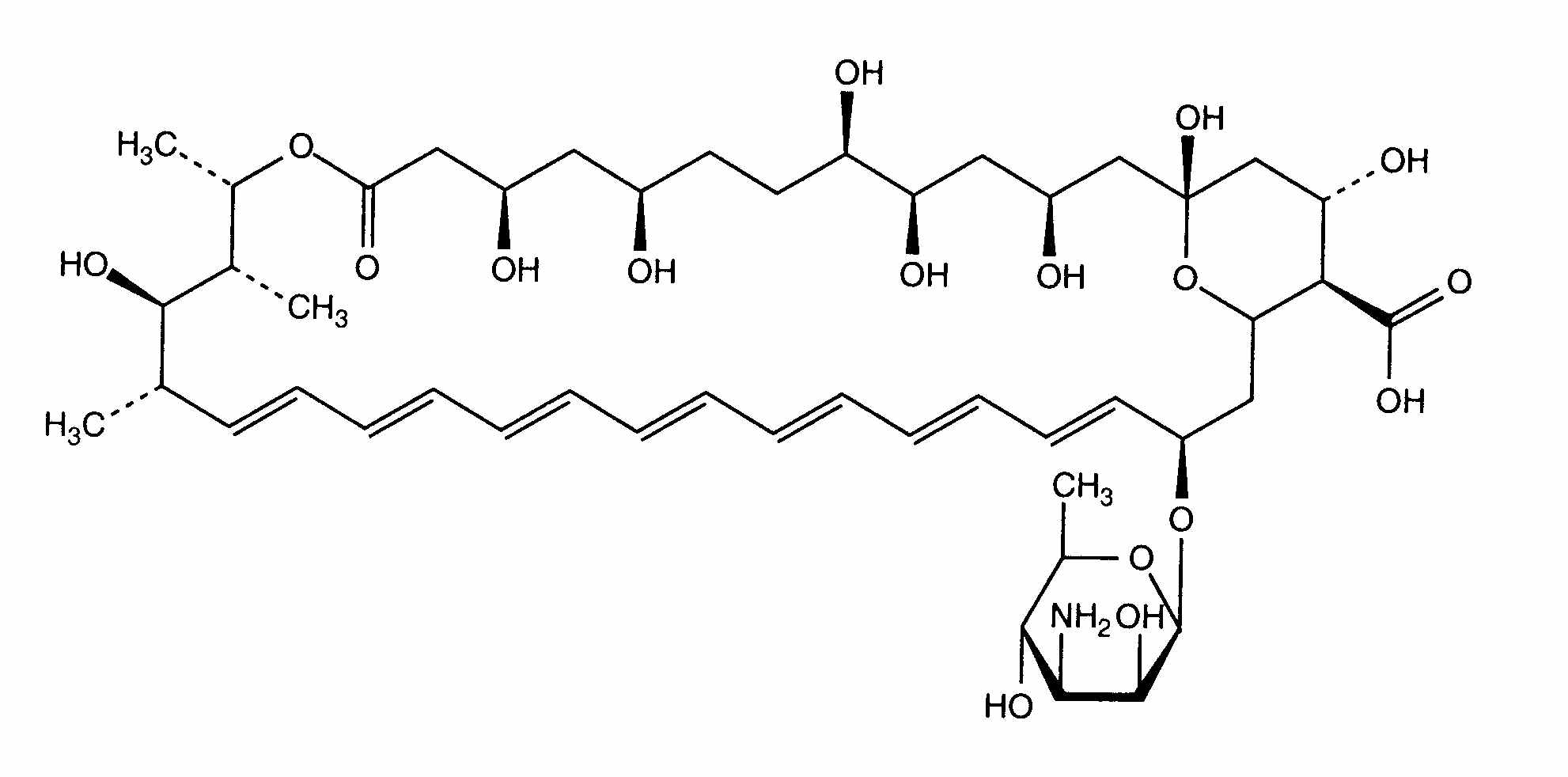
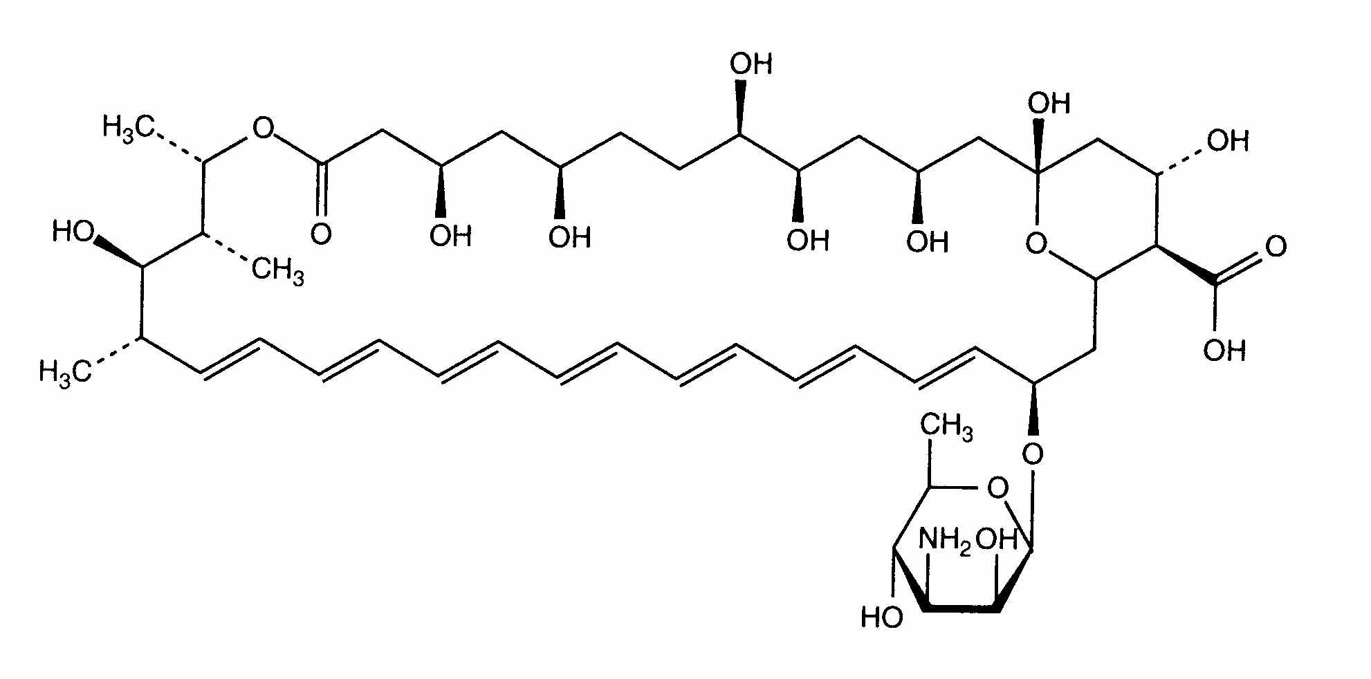
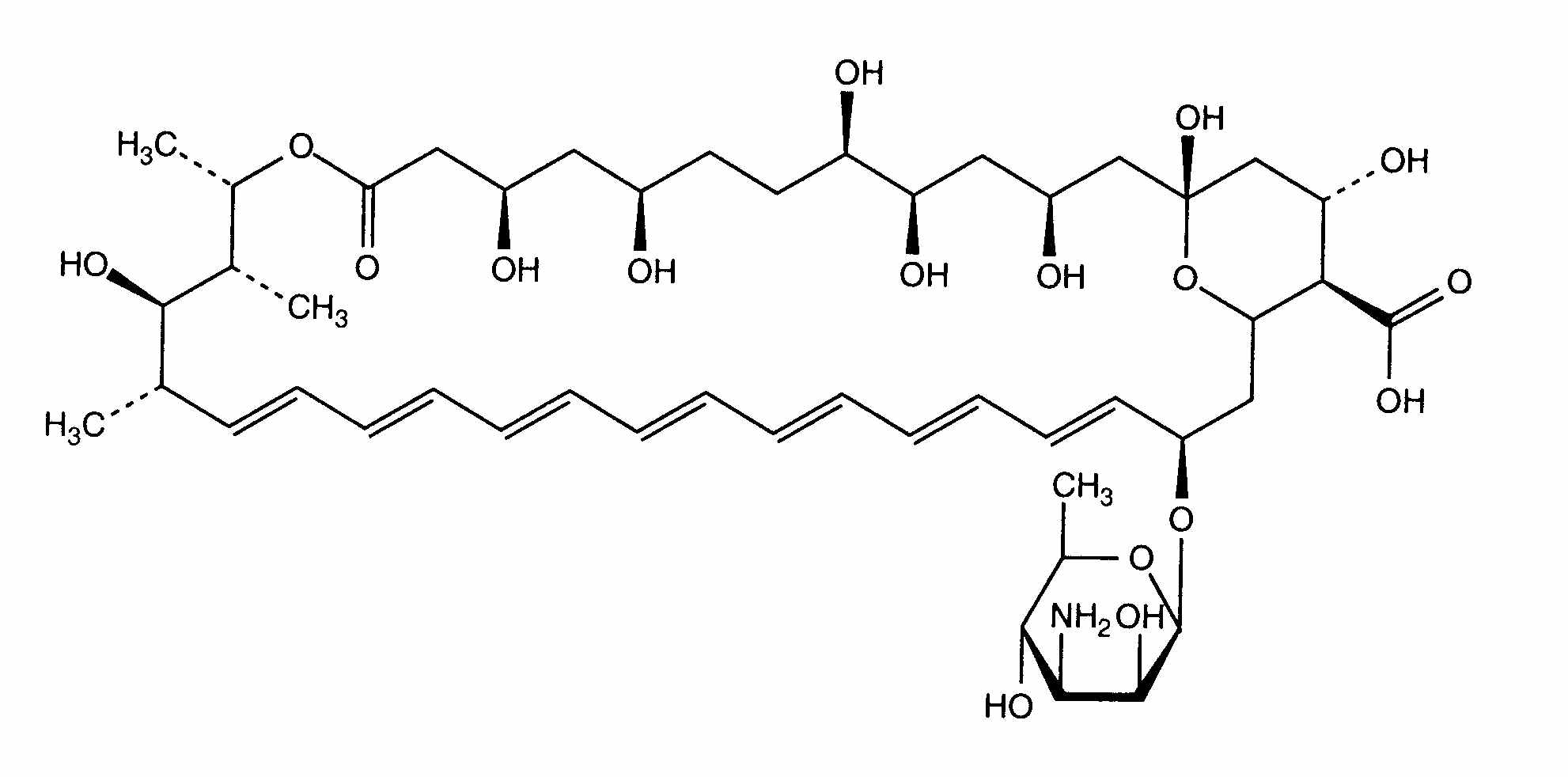
Liposoma   Cheminė sandara  

Prekinis pavadinimas   Prekinis pavadinimas     

Trade names are indicative and excipients composition can be different depending on the country and manufacturers

Ambisome Airija, Argentina, Austrija, Belgija, Brazilija, Čilė, Danija, Didžioji Britanija, Egiptas, Graikija, Indija, Islandija, Ispanija, Italija, Japonija, Jungtinės Amerikos Valstijos, Jungtiniai Arabų Emyratai, Kanada, Lenkija, Liuksemburgas, Naujojoje Zelandijoje, Norvegija, Olandija, Peru, Portugalija, Prancūzija, Saudo Arabija, Suomija, Švedija, Šveicarija, Tailandas, Turkija, Vengrija, Vokietija
Suderinamumas   Įpurškimas   Suderinamumas : Amphotericin B liposomale              
explication_incompatibilite_molecules
Molekulė Tirpiklis Nuorodos
Nedelsiant krituliai Nesuderinamas
Įpurškimas Amphotericin B liposomale
Vanduo injekcijoms + antibakterinis 3398
Suderinamas
Įpurškimas Amphotericin B liposomale 2 mg/ml
Įpurškimas Amoxicillin sodium / clavulanic acid 100/10 mg/ml
3824
Suderinamas
Įpurškimas Amphotericin B liposomale 4 mg/ml
Įpurškimas Caffeine 10 mg/ml
Nėra 3964
Tiesioginis drumstumas Nesuderinamas
Įpurškimas Amphotericin B liposomale 2 mg/ml
Įpurškimas Caffeine citrate 20 mg/ml
4837
Nepatikslintas nesuderinamumas Nesuderinamas
Įpurškimas Amphotericin B liposomale
Įpurškimas Calcium gluconate
3644
Nesuderinamas
Įpurškimas Amphotericin B liposomale
Įpurškimas Calcium gluconate
4964
Suderinamas
Įpurškimas Amphotericin B liposomale 4 mg/ml
Ringerio laktato tirpalas 4603
Suderinamas
Įpurškimas Amphotericin B liposomale
Gliukozė 5% 3398
Suderinamas
Įpurškimas Amphotericin B liposomale 1 mg/ml
Įpurškimas Anidulafungin 0.5 mg/ml
Gliukozė 5% 1982
Suderinamas
Įpurškimas Amphotericin B liposomale 1 mg/ml
Įpurškimas Blinatumomab 0.125 & 0.375 µg/ml
Natrio chloridas 0,9% 3976
Suderinamas
Įpurškimas Amphotericin B liposomale 2 mg/ml
Įpurškimas Caffeine 10 mg/ml
Gliukozė 5% 4837
Nedelsiant krituliai Nesuderinamas
Įpurškimas Amphotericin B liposomale 1 mg/ml
Įpurškimas Caspofungin acetate 0,7 mg/ml
Natrio chloridas 0,9% 2247
Tiesioginis drumstumas Nesuderinamas
Įpurškimas Amphotericin B liposomale 2 mg/ml
Įpurškimas Ceftolozane / tazobactam 10/5 mg/ml
Gliukozė 5% 3828
Suderinamas
Įpurškimas Amphotericin B liposomale 4 mg/ml
Įpurškimas Cloxacillin sodium 100 mg/ml
Vanduo injekcijoms 3012
Suderinamas
Įpurškimas Amphotericin B liposomale 2 mg/ml
Įpurškimas Defibrotide 8 mg/ml
Natrio chloridas 0,9% 3728
Suderinamas
Įpurškimas Amphotericin B liposomale 1 mg/ml
Įpurškimas Doripenem 5 mg/ml
Gliukozė 5% 2262
Tiesioginis drumstumas Nesuderinamas
Įpurškimas Amphotericin B liposomale 1 mg/ml
Įpurškimas Doripenem 5 mg/ml
Natrio chloridas 0,9% 2262
Drumstumo praradimas Nesuderinamas
Įpurškimas Amphotericin B liposomale 2 mg/ml
Įpurškimas Fosfomycin 30 mg/ml
Gliukozė 5% 4055
Tiesioginis drumstumas Nesuderinamas
Įpurškimas Amphotericin B liposomale 2 mg/ml
Įpurškimas Isavuconazonium sulfate 1.5 mg/ml
Gliukozė 5% 3829
Suderinamas
Įpurškimas Amphotericin B liposomale 2 mg/ml
Įpurškimas Meropenem 50 mg/ml
4319
Suderinamas
Įpurškimas Amphotericin B liposomale 2 mg/ml
Įpurškimas Paracetamol 10 mg/ml
4742
Suderinamas
Įpurškimas Amphotericin B liposomale 2 mg/ml
Įpurškimas Pentoxifyllin 5 mg/ml
Gliukozė 5% 4543
Nedelsiant krituliai Nesuderinamas
Įpurškimas Amphotericin B liposomale 1 mg/ml
Įpurškimas Telavancin hydrochloride 7,5 mg/ml
Gliukozė 5% 3254
Nedelsiant krituliai Nesuderinamas
Įpurškimas Amphotericin B liposomale 1.16 mg/ml
Įpurškimas Vancomycin hydrochloride 10 & 62.5 & 83.3 mg/ml
Gliukozė 5% 4254
Nedelsiant krituliai Nesuderinamas
Įpurškimas Amphotericin B liposomale
Natrio chloridas 0,9% 3398
Suderinamas
Įpurškimas Amphotericin B liposomale 2 mg/ml
Įpurškimas Sildenafil citrate 0,6 mg/ml
Gliukozė 5% 4845

  Mentions Légales