Son güncelleme :
27/04/2026
Antifungal   Amphotericin B liposomale  
Enjeksiyon
Göz damlası
Çözeltilerin stabilitesi Karışımlardaki stabilitesi Stabiliteyi etkileyen faktörler Uyumluluk Uygulama yöntemi Kaynaklar pdf
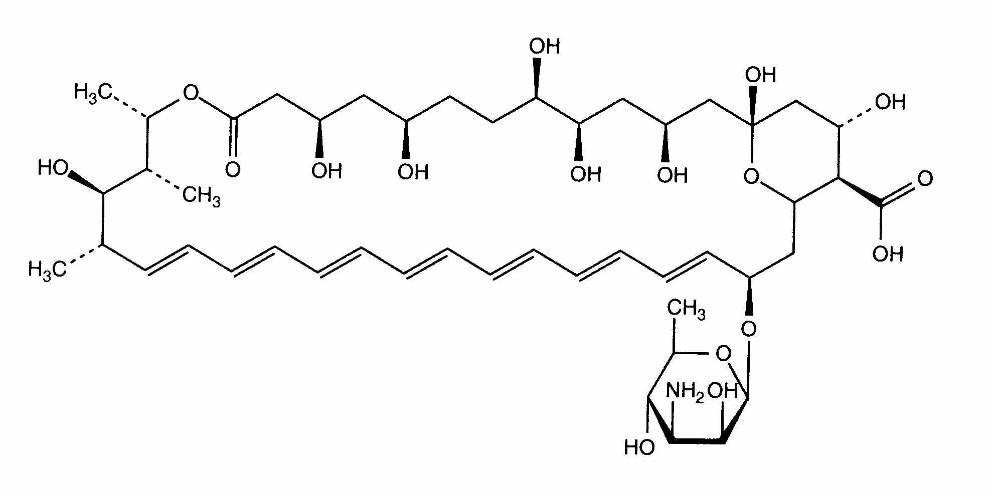
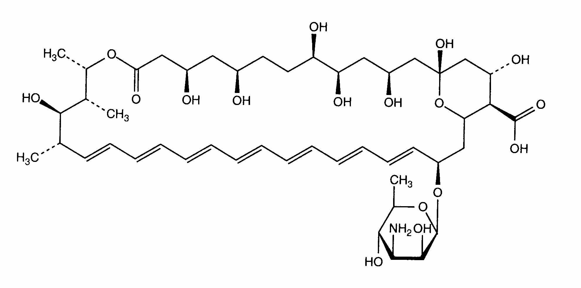
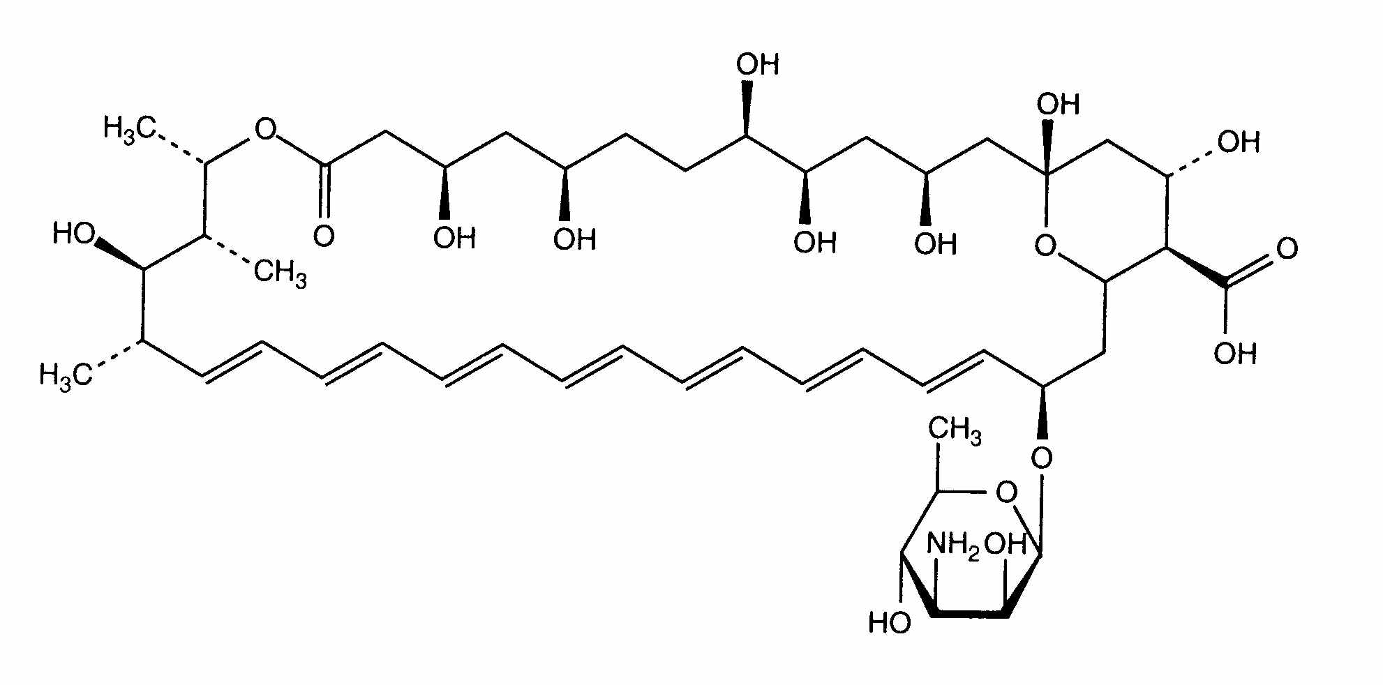
Lipozom   Kimyasal yapı   

Ticari isim   Ticari isim     

Trade names are indicative and excipients composition can be different depending on the country and manufacturers

Ambisome Almanya, Amerika Birleşik Devletleri, Arjantin, Avusturya, Belçika, Birleşik Arap Emirlikleri, Brezilya, Büyük Britanya, Danimarka, Finlandiya, Fransa, Hindistan, Hollanda, İrlanda, İspanya, İsveç, İsviçre, İtalya, İzlanda, Japonya, Kanada, Lüksemburg, Macaristan, Mısır, Norveç, Peru, Polonya, Portekiz, Şili, Suudi Arabistan, Tayland, Türkiye, yeni Zelanda, Yunanistan
Uyumluluk   Enjeksiyon    Uyumluluk : Amphotericin B liposomale              
Bu ekran, bu durumda uyumsuzluk tipiyle (çökelme, renk değişimi, bir emülsiyonun modifikasyonu, vb.) Uyumlulukları veya uyumsuzlukları gösterir. Burada gösterilen uyumluluklar çoğunlukla yalnızca fizikseldir ve her molekülün kimyasal stabilitesi nadiren değerlendirilir. Bu karışımların değerlendirilmesi, hastaya Y bölgesi uygulama olasılığını göz önünde bulundurmak için çalışıldı. Bu veriler önceden torba veya şırıngalarda karışım yapmak için kullanılamaz. Bu tür bilgiler "Karışımda stabilite" ekranında mevcuttur.
Bileşik Çözücü Kaynaklar
Acil yağış uyumsuz
Enjeksiyon Amphotericin B liposomale
Enjeksiyonluk su + antibakteriyel 3398
Uyumlu
Enjeksiyon Amphotericin B liposomale 2 mg/ml
Enjeksiyon Amoxicillin sodium / clavulanic acid 100/10 mg/ml
3824
Uyumlu
Enjeksiyon Amphotericin B liposomale 4 mg/ml
Enjeksiyon Caffeine 10 mg/ml
Yok 3964
Anında bulanıklık uyumsuz
Enjeksiyon Amphotericin B liposomale 2 mg/ml
Enjeksiyon Caffeine citrate 20 mg/ml
4837
Belirtilmemiş uyumsuzluk uyumsuz
Enjeksiyon Amphotericin B liposomale
Enjeksiyon Calcium gluconate
3644
uyumsuz
Enjeksiyon Amphotericin B liposomale
Enjeksiyon Calcium gluconate
4964
Uyumlu
Enjeksiyon Amphotericin B liposomale 4 mg/ml
Laktatlı ringer 4603
Uyumlu
Enjeksiyon Amphotericin B liposomale
Glukoz %5 3398
Uyumlu
Enjeksiyon Amphotericin B liposomale 1 mg/ml
Enjeksiyon Anidulafungin 0.5 mg/ml
Glukoz %5 1982
Uyumlu
Enjeksiyon Amphotericin B liposomale 1 mg/ml
Enjeksiyon Blinatumomab 0.125 & 0.375 µg/ml
Sodyum klorür % 0,9 3976
Uyumlu
Enjeksiyon Amphotericin B liposomale 2 mg/ml
Enjeksiyon Caffeine 10 mg/ml
Glukoz %5 4837
Acil yağış uyumsuz
Enjeksiyon Amphotericin B liposomale 1 mg/ml
Enjeksiyon Caspofungin acetate 0,7 mg/ml
Sodyum klorür % 0,9 2247
Anında bulanıklık uyumsuz
Enjeksiyon Amphotericin B liposomale 2 mg/ml
Enjeksiyon Ceftolozane / tazobactam 10/5 mg/ml
Glukoz %5 3828
Uyumlu
Enjeksiyon Amphotericin B liposomale 4 mg/ml
Enjeksiyon Cloxacillin sodium 100 mg/ml
Enjeksiyonluk su 3012
Uyumlu
Enjeksiyon Amphotericin B liposomale 2 mg/ml
Enjeksiyon Defibrotide 8 mg/ml
Sodyum klorür % 0,9 3728
Uyumlu
Enjeksiyon Amphotericin B liposomale 1 mg/ml
Enjeksiyon Doripenem 5 mg/ml
Glukoz %5 2262
Anında bulanıklık uyumsuz
Enjeksiyon Amphotericin B liposomale 1 mg/ml
Enjeksiyon Doripenem 5 mg/ml
Sodyum klorür % 0,9 2262
Bulanıklık kaybı uyumsuz
Enjeksiyon Amphotericin B liposomale 2 mg/ml
Enjeksiyon Fosfomycin 30 mg/ml
Glukoz %5 4055
Anında bulanıklık uyumsuz
Enjeksiyon Amphotericin B liposomale 2 mg/ml
Enjeksiyon Isavuconazonium sulfate 1.5 mg/ml
Glukoz %5 3829
Uyumlu
Enjeksiyon Amphotericin B liposomale 2 mg/ml
Enjeksiyon Meropenem 50 mg/ml
4319
Uyumlu
Enjeksiyon Amphotericin B liposomale 2 mg/ml
Enjeksiyon Paracetamol 10 mg/ml
4742
Uyumlu
Enjeksiyon Amphotericin B liposomale 2 mg/ml
Enjeksiyon Pentoxifyllin 5 mg/ml
Glukoz %5 4543
Acil yağış uyumsuz
Enjeksiyon Amphotericin B liposomale 1 mg/ml
Enjeksiyon Telavancin hydrochloride 7,5 mg/ml
Glukoz %5 3254
Acil yağış uyumsuz
Enjeksiyon Amphotericin B liposomale 1.16 mg/ml
Enjeksiyon Vancomycin hydrochloride 10 & 62.5 & 83.3 mg/ml
Glukoz %5 4254
Acil yağış uyumsuz
Enjeksiyon Amphotericin B liposomale
Sodyum klorür % 0,9 3398
Uyumlu
Enjeksiyon Amphotericin B liposomale 2 mg/ml
Enjeksiyon Sildenafil citrate 0,6 mg/ml
Glukoz %5 4845

  Mentions Légales