Siste oppdatering :
27/04/2026
Fungicid   Amphotericin B liposomale  
Injeksjon
Øyedråper
Oppløsningsstabilitet Stabilitet i blandinger Faktorer som påvirker stabiliteten Kompatibilitet Administrasjonsmåte Referanser pdf
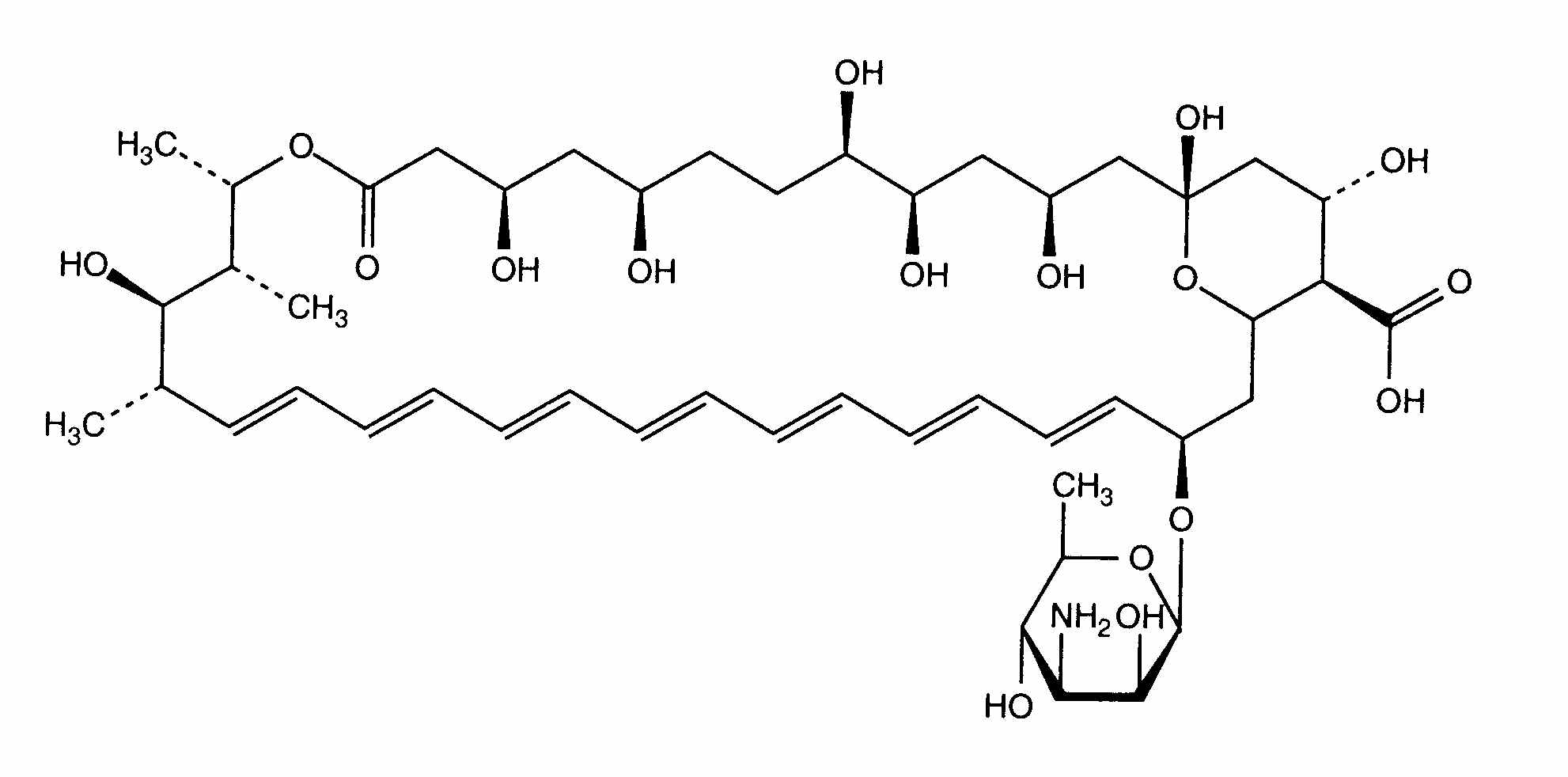
Liposom   Kjemisk struktur  

Handelsnavn   Handelsnavn     

Handelsnavn er veiledende og sammensetning av hjelpestoffer kan være forskjellig avhengig av land og produsent

Ambisome Argentina, Belgia, Brasil, Canada, Chile, Danmark, De forente arabiske emirater, Egypt, Finland, Frankrike, Hellas, India, Irland, Island, Italia, Japan, Luxembourg, Nederland, New Zealand, Norge, Peru, Polen, Portugal, Saudi-Arabia, Spania, Storbritannia, Sveits, Sverige, Thailand, Tyrkia, Tyskland, Ungarn, USA, Østerrike
Kompatibilitet   Injeksjon   Kompatibilitet : Amphotericin B liposomale              
Dette skjermbildet viser kompatibilitet eller inkompatibilitet med, i dette tilfellet, typen inkompatibilitet (nedbør, fargeendring, modifisering av en emulsjon, etc.). Kompatibilitetene som er vist her, er for det meste bare fysiske, og den kjemiske stabiliteten til hvert molekyl blir sjelden vurdert. Evalueringen av disse blandingene ble studert for å vurdere muligheten for Y-stedadministrasjon til pasienten. Disse dataene kan ikke brukes til å lage blandinger på forhånd i poser eller sprøyter. Denne typen informasjon er tilgjengelig på skjermen "Stabilitet i blanding".
Legemiddel Oppløsningsmiddel Referanser
Umiddelbar nedbør Uforenlig
Injeksjon Amphotericin B liposomale
Vann til injeksjon + antibakterielt middel 3398
Kompatibel
Injeksjon Amphotericin B liposomale 2 mg/ml
Injeksjon Amoxicillin sodium / clavulanic acid 100/10 mg/ml
3824
Kompatibel
Injeksjon Amphotericin B liposomale 4 mg/ml
Injeksjon Caffeine 10 mg/ml
Ingen 3964
Umiddelbar turbiditet Uforenlig
Injeksjon Amphotericin B liposomale 2 mg/ml
Injeksjon Caffeine citrate 20 mg/ml
4837
Uspesifisert inkompatibilitet Uforenlig
Injeksjon Amphotericin B liposomale
Injeksjon Calcium gluconate
3644
Uforenlig
Injeksjon Amphotericin B liposomale
Injeksjon Calcium gluconate
4964
Kompatibel
Injeksjon Amphotericin B liposomale 4 mg/ml
Ringers laktatoppløsning 4603
Kompatibel
Injeksjon Amphotericin B liposomale
Glukose 5 % 3398
Kompatibel
Injeksjon Amphotericin B liposomale 1 mg/ml
Injeksjon Anidulafungin 0.5 mg/ml
Glukose 5 % 1982
Kompatibel
Injeksjon Amphotericin B liposomale 1 mg/ml
Injeksjon Blinatumomab 0.125 & 0.375 µg/ml
Natriumklorid 0,9 % 3976
Kompatibel
Injeksjon Amphotericin B liposomale 2 mg/ml
Injeksjon Caffeine 10 mg/ml
Glukose 5 % 4837
Umiddelbar nedbør Uforenlig
Injeksjon Amphotericin B liposomale 1 mg/ml
Injeksjon Caspofungin acetate 0,7 mg/ml
Natriumklorid 0,9 % 2247
Umiddelbar turbiditet Uforenlig
Injeksjon Amphotericin B liposomale 2 mg/ml
Injeksjon Ceftolozane / tazobactam 10/5 mg/ml
Glukose 5 % 3828
Kompatibel
Injeksjon Amphotericin B liposomale 4 mg/ml
Injeksjon Cloxacillin sodium 100 mg/ml
Vann til injeksjon 3012
Kompatibel
Injeksjon Amphotericin B liposomale 2 mg/ml
Injeksjon Defibrotide 8 mg/ml
Natriumklorid 0,9 % 3728
Kompatibel
Injeksjon Amphotericin B liposomale 1 mg/ml
Injeksjon Doripenem 5 mg/ml
Glukose 5 % 2262
Umiddelbar turbiditet Uforenlig
Injeksjon Amphotericin B liposomale 1 mg/ml
Injeksjon Doripenem 5 mg/ml
Natriumklorid 0,9 % 2262
Tap av turbiditet Uforenlig
Injeksjon Amphotericin B liposomale 2 mg/ml
Injeksjon Fosfomycin 30 mg/ml
Glukose 5 % 4055
Umiddelbar turbiditet Uforenlig
Injeksjon Amphotericin B liposomale 2 mg/ml
Injeksjon Isavuconazonium sulfate 1.5 mg/ml
Glukose 5 % 3829
Kompatibel
Injeksjon Amphotericin B liposomale 2 mg/ml
Injeksjon Meropenem 50 mg/ml
4319
Kompatibel
Injeksjon Amphotericin B liposomale 2 mg/ml
Injeksjon Paracetamol 10 mg/ml
4742
Kompatibel
Injeksjon Amphotericin B liposomale 2 mg/ml
Injeksjon Pentoxifyllin 5 mg/ml
Glukose 5 % 4543
Umiddelbar nedbør Uforenlig
Injeksjon Amphotericin B liposomale 1 mg/ml
Injeksjon Telavancin hydrochloride 7,5 mg/ml
Glukose 5 % 3254
Umiddelbar nedbør Uforenlig
Injeksjon Amphotericin B liposomale 1.16 mg/ml
Injeksjon Vancomycin hydrochloride 10 & 62.5 & 83.3 mg/ml
Glukose 5 % 4254
Umiddelbar nedbør Uforenlig
Injeksjon Amphotericin B liposomale
Natriumklorid 0,9 % 3398
Kompatibel
Injeksjon Amphotericin B liposomale 2 mg/ml
Injeksjon Sildenafil citrate 0,6 mg/ml
Glukose 5 % 4845

  Mentions Légales