Viimeisin päivitys :
27/04/2026
Antibiootit   Penicillin G sodium  
Injektioneste
Stabilius liuoksessa Stabilius seoksissa Tekijät, jotka vaikuttavat stabiliuteen Yhteensopivuus Antotapa Viitteet pdf
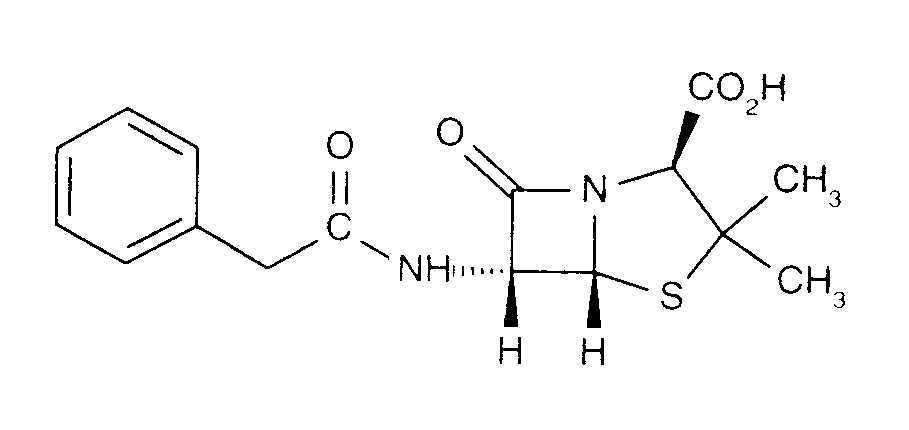
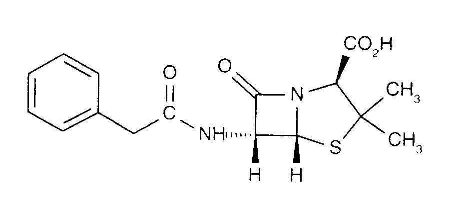
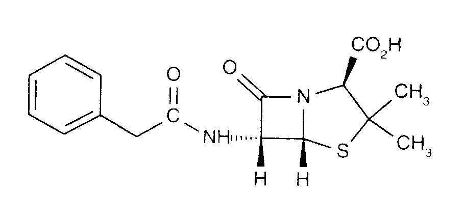
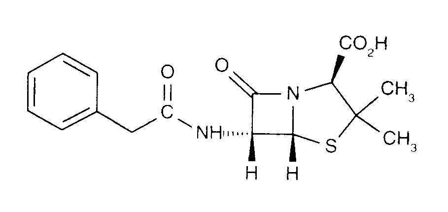
   Kemiallinen rakenne  

Kauppanimi   Kauppanimi     

Trade names are indicative and excipients composition can be different depending on the country and manufacturers

Benapen Brasilia
Bencilpenicilina Chile, Ecuador, Marokko
Benpen Australia, New Zealand
Bensylpenicillin Ruotsi
Benzapen Iran
Benzatec Etelä-Afrikka
Benzatron Brasilia
Benzylpenicillin Egypti, Norja, Ruotsi, Suomi, Tanska
Benzylpenicilline Tunisia
Biconcillina Ecuador
Crystapen Irlanti, Iso-Britannia, Kanada
Declin Meksiko
Fortepen Saudi-Arabia
Geepenil Suomi
Natrium penicillin G Hollanti
Novopen Etelä-Afrikka
Pebencil Venezuela
Penbendox Meksiko
Penibiot Espanja
Penicillin Norja
Penicillina G sodica Argentiina, Chile, Ecuador, Kolumbia, Portugali
Penilevel Espanja
Sodiopen Espanja
Unicillina Espanja
Yhteensopivuus   Injektioneste   Yhteensopivuus : Penicillin G sodium              
Tämä näyttö osoittaa yhteensopivuuden tai yhteensopimattomuuden yhteensopimattomuuden tyypin kanssa (saostuminen, värinmuutos, emulsiomuutos jne.). Tässä esitetty yhteensopivuus on useimmissa tapauksissa vain fysikaalinen, ja kunkin molekyylin kemiallista stabiilisuutta arvioidaan harvoin. Näiden seosten arviointia tutkittiin mahdollisuuden antaa Y-kohta potilaalle. Näitä tietoja ei voida käyttää seosten valmistamiseen etukäteen pusseissa tai ruiskuissa. Tämäntyyppiset tiedot ovat saatavilla "Stabiilisuus seoksessa" -näytössä.
Yhdiste Liuotin Viitteet
Määrittelemätön yhteensopimattomuus yhteensopimaton
Injektioneste Penicillin G sodium
Injektioneste Amphotericin B
3585
Määrittelemätön yhteensopimattomuus yhteensopimaton
Injektioneste Penicillin G sodium
Injektioneste Bleomycin sulfate
4154
Yhteensopiva
Injektioneste Penicillin G sodium 0.5 MUI/ml
Injektioneste Caffeine 10 mg/ml
Ei mikään 3964
Määrittelemätön yhteensopimattomuus yhteensopimaton
Injektioneste Penicillin G sodium
Injektioneste Cimetidine hydrochloride
3585
Määrittelemätön yhteensopimattomuus yhteensopimaton
Injektioneste Penicillin G sodium
Injektioneste Ciprofloxacin lactate
3529
Yhteensopiva
Injektioneste Penicillin G sodium 500 000 MUI/ml
Ringerlaktaattiliuos 4603
Yhteensopiva
Injektioneste Penicillin G sodium
Glukoosi 5% 3648
Yhteensopiva
Injektioneste Penicillin G sodium
Natriumkloridi 0,9% 3648
Yhteensopiva
Injektioneste Penicillin G sodium
Natriumkloridi 0,9% 3585
Kemiallinen epävakaus yhteensopimaton
Injektioneste Penicillin G sodium
Injektioneste Amikacin sulfate
3549
Yhteensopiva
Injektioneste Penicillin G sodium 0.17 MUI/ml
Injektioneste Caffeine 10 mg/ml
Injektionesteisiin käytettävä vesi 4837
Yhteensopiva
Injektioneste Penicillin G sodium 0.17 MUI/ml
Injektioneste Caffeine citrate 20 mg/ml
Injektionesteisiin käytettävä vesi 4837
Yhteensopiva
Injektioneste Penicillin G sodium 0.5 MUI/ml
Injektioneste Cloxacillin sodium 100 mg/ml
Injektionesteisiin käytettävä vesi 3012
Määrittelemätön yhteensopimattomuus yhteensopimaton
Injektioneste Penicillin G sodium
Injektioneste Cytarabine
3580
Määrittelemätön yhteensopimattomuus yhteensopimaton
Injektioneste Penicillin G sodium
Injektioneste Cytarabine
3585
Yhteensopiva
Injektioneste Penicillin G sodium 0,5 MUI/ml
Injektioneste Dexmedetomidine 100 µg/ml
4389
Yhteensopiva
Injektioneste Penicillin G sodium
Injektioneste Dimenhydrinate
2087
Määrittelemätön yhteensopimattomuus yhteensopimaton
Injektioneste Penicillin G sodium
Injektioneste Erythromycin lactobionate
3674
Määrittelemätön yhteensopimattomuus yhteensopimaton
Injektioneste Penicillin G sodium
Injektioneste Flucloxacillin sodium
3585
Määrittelemätön yhteensopimattomuus yhteensopimaton
Injektioneste Penicillin G sodium
Injektioneste Gentamicin sulfate
3643
Määrittelemätön yhteensopimattomuus yhteensopimaton
Injektioneste Penicillin G sodium
Injektioneste Gentamicin sulfate
3520
Määrittelemätön yhteensopimattomuus yhteensopimaton
Injektioneste Penicillin G sodium
Injektioneste Heparin sodium
3540
Määrittelemätön yhteensopimattomuus yhteensopimaton
Injektioneste Penicillin G sodium
Injektioneste Hydroxyzine dihydrochloride
3585
Yhteensopiva
Injektioneste Penicillin G sodium 0.5 MUI/ml
Injektioneste Levofloxacine 5 mg/ml
Glukoosi 5% 1072
Yhteensopiva
Injektioneste Penicillin G sodium 0.5 MUI/ml
Injektioneste Meropenem 50 mg/ml
Injektionesteisiin käytettävä vesi 4319
Määrittelemätön yhteensopimattomuus yhteensopimaton
Injektioneste Penicillin G sodium
Injektioneste Metaraminol
5046
Määrittelemätön yhteensopimattomuus yhteensopimaton
Injektioneste Penicillin G sodium
Injektioneste Methylprednisolone sodium succinate
3585
Välittömät sateet yhteensopimaton
Injektioneste Penicillin G sodium 0.17 MUI/ml
Injektioneste Morphine hydrochloride 0,2 mg/ml
Natriumkloridi 0,9% 4831
Yhteensopiva
Injektioneste Penicillin G sodium 0,025 MUI/ml
Injektioneste Oxytocin 0,02 UI/ml
Glukoosi 5% 1725
Yhteensopiva
Injektioneste Penicillin G sodium 0,05 MUI/ml
Injektioneste Oxytocin 0,02 UI/ml
Glukoosi 5% 1725
Yhteensopiva
Injektioneste Penicillin G sodium 0,05 MUI/ml
Injektioneste Oxytocin 0,02 UI/ml
Natriumkloridi 0,9% 1725
Yhteensopiva
Injektioneste Penicillin G sodium 0,025 MUI/ml
Injektioneste Oxytocin 0,02 UI/ml
Natriumkloridi 0,9% 1725
Yhteensopiva
Injektioneste Penicillin G sodium
Injektioneste Pantoprazole sodium
2090
Määrittelemätön yhteensopimattomuus yhteensopimaton
Injektioneste Penicillin G sodium
Injektioneste Promethazine hydrochloride
3585
Yhteensopiva
Injektioneste Penicillin G sodium 100 MUI/ml
Injektioneste Sildenafil citrate 0,6 mg/ml
Glukoosi 5% 4845
Yhteensopiva
Injektioneste Penicillin G sodium
Injektioneste Sildenafil citrate 0,6 mg/ml
Glukoosi 5% 4845
Välittömät sateet yhteensopimaton
Injektioneste Penicillin G sodium
Injektioneste Trimebutine
3931
Yhteensopiva
Injektioneste Penicillin G sodium 0.01 MUI/ml
Injektioneste Verapamil hydrochloride 0.08 mg/ml
Natriumkloridi 0,9% 1057
Yhteensopiva
Injektioneste Penicillin G sodium 0.01 MUI/ml
Injektioneste Verapamil hydrochloride 0.08 mg/ml
Glukoosi 5% 1057
Yhteensopiva
Injektioneste Penicillin G sodium 0,05 MUI/ml
Injektioneste Zidovudine 4 mg/ml
Natriumkloridi 0,9% 1725
Yhteensopiva
Injektioneste Penicillin G sodium 0,025 MUI/ml
Injektioneste Zidovudine 4 mg/ml
Glukoosi 5% 1725
Yhteensopiva
Injektioneste Penicillin G sodium 0,025 MUI/ml
Injektioneste Zidovudine 4 mg/ml
Natriumkloridi 0,9% 1725
Yhteensopiva
Injektioneste Penicillin G sodium 0,05 MUI/ml
Injektioneste Zidovudine 4 mg/ml
Glukoosi 5% 1725

  Mentions Légales