Última actualización :
31/03/2026
Antibiótico   Penicillin G sodium  
Inyectables
Estabilidad en solucion Estabilidad en mezcla Factores que influyen sobre la estabilidad Compatibilidades método de inyección Bibliografía pdf
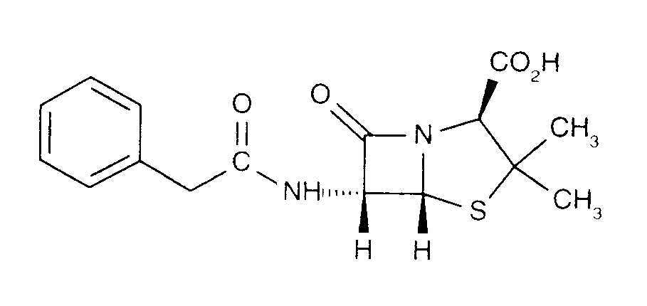
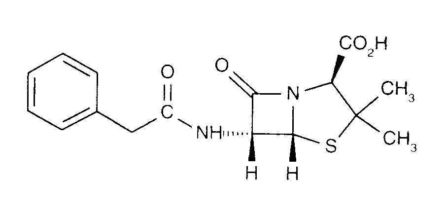
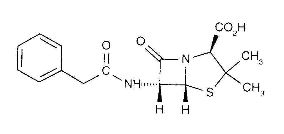
   Estructura química  

Nombre comercial   Nombre comercial     

Los nombres comerciales son orientativos y los excipientes de la formulación pueden ser distintos dependiendo del país y del laboratorio fabricante.

Benapen Brasil
Bencilpenicilina Chile, Ecuador, Marruecos
Benpen Australia, Nueva Zelanda
Bensylpenicillin Suecia
Benzapen Irán
Benzatec Sudafrica
Benzatron Brasil
Benzylpenicillin Dinamarca, Egipto, Finlandia, Noruega, Suecia
Benzylpenicilline Túnez
Biconcillina Ecuador
Crystapen Canadá, Gran Bretaña, Irlanda
Declin México
Fortepen Arabia Saudita
Geepenil Finlandia
Natrium penicillin G Países Bajos
Novopen Sudafrica
Pebencil Venezuela
Penbendox México
Penibiot España
Penicillin Noruega
Penicillina G sodica Argentina, Chile, Colombia, Ecuador, Portugal
Penilevel España
Sodiopen España
Unicillina España
Compatibilidades   Inyectables   Compatibilidades : Penicillin G sodium              
Esta pantalla muestra las compatibilidades o incompatibilidades, así como el tipo de incompatibilidad (precipitación, cambio de color, modificación de una emulsión, etc). Las compatibilidades que se recogen aquí son fundamentalmente físicas, mostrando raramente la estabilidad química de la molécula. La evaluación de estas mezclas se estudió con el fin de de comprobar la posibilidad de administración en Y al paciente. Estos datos no pueden utilizarse en el caso de la preparación de mezclas dentro de bolsas o jeringas. Este tipo de información está disponible en la pantalla “Estabilidad en mezcla”.
Molécula Solvente Bibliografía
Incompatibilidad no especificada Incompatible
Inyectables Penicillin G sodium
Inyectables Amphotericin B
3585
Incompatibilidad no especificada Incompatible
Inyectables Penicillin G sodium
Inyectables Bleomycin sulfate
4154
Compatible
Inyectables Penicillin G sodium 0.5 MUI/ml
Inyectables Caffeine 10 mg/ml
Ninguno 3964
Incompatibilidad no especificada Incompatible
Inyectables Penicillin G sodium
Inyectables Cimetidine hydrochloride
3585
Incompatibilidad no especificada Incompatible
Inyectables Penicillin G sodium
Inyectables Ciprofloxacin lactate
3529
Compatible
Inyectables Penicillin G sodium 500 000 MUI/ml
Ringer lactato 4603
Compatible
Inyectables Penicillin G sodium
Glucosa 5% 3648
Compatible
Inyectables Penicillin G sodium
Cloruro de sodio 0,9% 3648
Compatible
Inyectables Penicillin G sodium
Cloruro de sodio 0,9% 3585
Inestabilidad química Incompatible
Inyectables Penicillin G sodium
Inyectables Amikacin sulfate
3549
Compatible
Inyectables Penicillin G sodium 0.17 MUI/ml
Inyectables Caffeine 10 mg/ml
Agua para preparación inyectable 4837
Compatible
Inyectables Penicillin G sodium 0.17 MUI/ml
Inyectables Caffeine citrate 20 mg/ml
Agua para preparación inyectable 4837
Compatible
Inyectables Penicillin G sodium 0.5 MUI/ml
Inyectables Cloxacillin sodium 100 mg/ml
Agua para preparación inyectable 3012
Incompatibilidad no especificada Incompatible
Inyectables Penicillin G sodium
Inyectables Cytarabine
3580
Incompatibilidad no especificada Incompatible
Inyectables Penicillin G sodium
Inyectables Cytarabine
3585
Compatible
Inyectables Penicillin G sodium 0,5 MUI/ml
Inyectables Dexmedetomidine 100 µg/ml
4389
Compatible
Inyectables Penicillin G sodium
Inyectables Dimenhydrinate
2087
Incompatibilidad no especificada Incompatible
Inyectables Penicillin G sodium
Inyectables Erythromycin lactobionate
3674
Incompatibilidad no especificada Incompatible
Inyectables Penicillin G sodium
Inyectables Flucloxacillin sodium
3585
Incompatibilidad no especificada Incompatible
Inyectables Penicillin G sodium
Inyectables Gentamicin sulfate
3643
Incompatibilidad no especificada Incompatible
Inyectables Penicillin G sodium
Inyectables Gentamicin sulfate
3520
Incompatibilidad no especificada Incompatible
Inyectables Penicillin G sodium
Inyectables Heparin sodium
3540
Incompatibilidad no especificada Incompatible
Inyectables Penicillin G sodium
Inyectables Hydroxyzine dihydrochloride
3585
Compatible
Inyectables Penicillin G sodium 0.5 MUI/ml
Inyectables Levofloxacine 5 mg/ml
Glucosa 5% 1072
Compatible
Inyectables Penicillin G sodium 0.5 MUI/ml
Inyectables Meropenem 50 mg/ml
Agua para preparación inyectable 4319
Incompatibilidad no especificada Incompatible
Inyectables Penicillin G sodium
Inyectables Metaraminol
5046
Incompatibilidad no especificada Incompatible
Inyectables Penicillin G sodium
Inyectables Methylprednisolone sodium succinate
3585
Precipitación inmediata Incompatible
Inyectables Penicillin G sodium 0.17 MUI/ml
Inyectables Morphine hydrochloride 0,2 mg/ml
Cloruro de sodio 0,9% 4831
Compatible
Inyectables Penicillin G sodium 0,025 MUI/ml
Inyectables Oxytocin 0,02 UI/ml
Glucosa 5% 1725
Compatible
Inyectables Penicillin G sodium 0,05 MUI/ml
Inyectables Oxytocin 0,02 UI/ml
Glucosa 5% 1725
Compatible
Inyectables Penicillin G sodium 0,05 MUI/ml
Inyectables Oxytocin 0,02 UI/ml
Cloruro de sodio 0,9% 1725
Compatible
Inyectables Penicillin G sodium 0,025 MUI/ml
Inyectables Oxytocin 0,02 UI/ml
Cloruro de sodio 0,9% 1725
Compatible
Inyectables Penicillin G sodium
Inyectables Pantoprazole sodium
2090
Incompatibilidad no especificada Incompatible
Inyectables Penicillin G sodium
Inyectables Promethazine hydrochloride
3585
Compatible
Inyectables Penicillin G sodium 100 MUI/ml
Inyectables Sildenafil citrate 0,6 mg/ml
Glucosa 5% 4845
Compatible
Inyectables Penicillin G sodium
Inyectables Sildenafil citrate 0,6 mg/ml
Glucosa 5% 4845
Precipitación inmediata Incompatible
Inyectables Penicillin G sodium
Inyectables Trimebutine
3931
Compatible
Inyectables Penicillin G sodium 0.01 MUI/ml
Inyectables Verapamil hydrochloride 0.08 mg/ml
Cloruro de sodio 0,9% 1057
Compatible
Inyectables Penicillin G sodium 0.01 MUI/ml
Inyectables Verapamil hydrochloride 0.08 mg/ml
Glucosa 5% 1057
Compatible
Inyectables Penicillin G sodium 0,05 MUI/ml
Inyectables Zidovudine 4 mg/ml
Cloruro de sodio 0,9% 1725
Compatible
Inyectables Penicillin G sodium 0,025 MUI/ml
Inyectables Zidovudine 4 mg/ml
Glucosa 5% 1725
Compatible
Inyectables Penicillin G sodium 0,025 MUI/ml
Inyectables Zidovudine 4 mg/ml
Cloruro de sodio 0,9% 1725
Compatible
Inyectables Penicillin G sodium 0,05 MUI/ml
Inyectables Zidovudine 4 mg/ml
Glucosa 5% 1725

  Mentions Légales