Dernière mise à jour :
31/03/2026
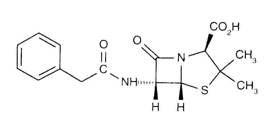
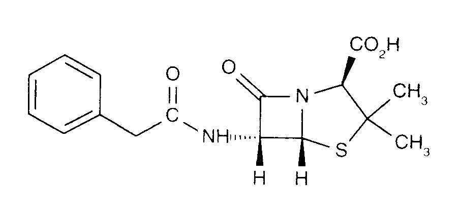
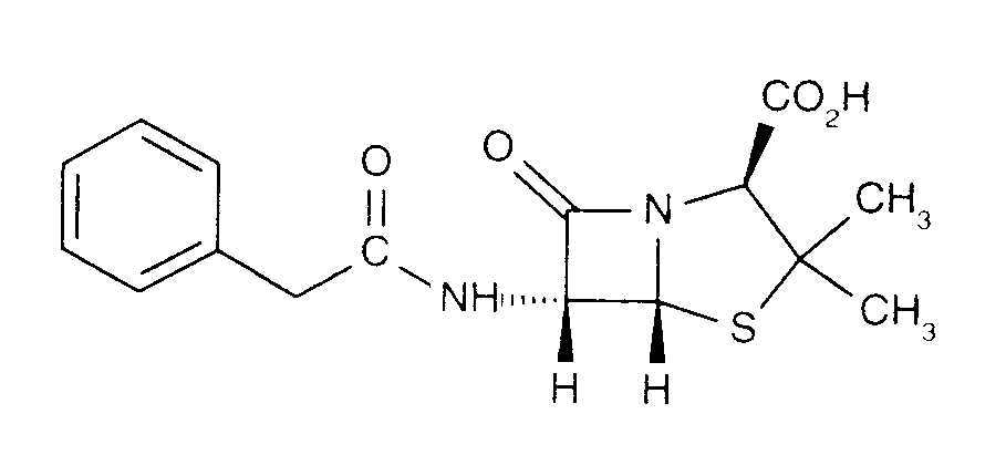
Antibiotique   Penicillin G sodium  
injectable
Stabilité des solutions Stabilité en mélange Facteur influençant la stabilité Compatibilités Voie d’administration Bibliographie pdf
   Structure chimique  

Noms commerciaux   Noms commerciaux     

Les noms commerciaux sont donnés à titre indicatif et la composition en excipients peut être différente selon les pays et selon les laboratoires

Benapen Brésil
Bencilpenicilina Chili, Equateur, Pérou
Benpen Australie, Nouvelle Zélande
Bensylpenicillin Suède
Benzapen Iran
Benzatec Afrique du sud
Benzatron Brésil
Benzylpenicillin Danemark, Egypte, Finlande, Norvège, Suède
Benzylpenicilline Tunisie
Biconcillina Equateur
Crystapen Canada, Grande Bretagne, Irlande
Declin Mexique
Fortepen Arabie Saoudite
Geepenil Finlande
Natrium penicillin G Pays bas
Novopen Afrique du sud
Pebencil Vénézuela
Penbendox Mexique
Penibiot Espagne
Penicillin Norvège
Penicillina G sodica Argentine, Chili, Colombie, Equateur, Portugal
Penilevel Espagne
Sodiopen Espagne
Unicillina Espagne
Compatibilités   injectable   Compatibilités : Penicillin G sodium              
Cet écran indique les compatibilités ou incompatibilités avec, dans ce cas, le type d'incompatibilité (précipitation, changement de couleur, modification d'une émulsion, etc.). Les compatibilités présentées ici sont pour la plupart uniquement physiques, la stabilité chimique de chaque molécule étant rarement évaluée. L'évaluation de ces mélanges a été étudiée pour envisager la possibilité d'une administration en site Y au patient. Ces données ne peuvent pas être utilisées pour préparer des mélanges à l'avance dans des poches de perfusion ou des seringues. Ce type d'informations est disponible dans l'écran « Stabilité en mélange ».
Molécule Solvant Bibliographie
Incompatibilité non précisée Incompatible
injectable Penicillin G sodium
injectable Amphotericin B
3585
Incompatibilité non précisée Incompatible
injectable Penicillin G sodium
injectable Bleomycin sulfate
4154
Compatible
injectable Penicillin G sodium 0.5 MUI/ml
injectable Caffeine 10 mg/ml
Aucun 3964
Incompatibilité non précisée Incompatible
injectable Penicillin G sodium
injectable Cimetidine hydrochloride
3585
Incompatibilité non précisée Incompatible
injectable Penicillin G sodium
injectable Ciprofloxacin lactate
3529
Compatible
injectable Penicillin G sodium 500 000 MUI/ml
Ringer lactate 4603
Compatible
injectable Penicillin G sodium
Glucose 5% 3648
Compatible
injectable Penicillin G sodium
Chlorure de sodium 0,9% 3648
Compatible
injectable Penicillin G sodium
Chlorure de sodium 0,9% 3585
Instabilité chimique Incompatible
injectable Penicillin G sodium
injectable Amikacin sulfate
3549
Compatible
injectable Penicillin G sodium 0.17 MUI/ml
injectable Caffeine 10 mg/ml
Eau pour préparation injectable 4837
Compatible
injectable Penicillin G sodium 0.17 MUI/ml
injectable Caffeine citrate 20 mg/ml
Eau pour préparation injectable 4837
Compatible
injectable Penicillin G sodium 0.5 MUI/ml
injectable Cloxacillin sodium 100 mg/ml
Eau pour préparation injectable 3012
Incompatibilité non précisée Incompatible
injectable Penicillin G sodium
injectable Cytarabine
3580
Incompatibilité non précisée Incompatible
injectable Penicillin G sodium
injectable Cytarabine
3585
Compatible
injectable Penicillin G sodium 0,5 MUI/ml
injectable Dexmedetomidine 100 µg/ml
4389
Compatible
injectable Penicillin G sodium
injectable Dimenhydrinate
2087
Incompatibilité non précisée Incompatible
injectable Penicillin G sodium
injectable Erythromycin lactobionate
3674
Incompatibilité non précisée Incompatible
injectable Penicillin G sodium
injectable Flucloxacillin sodium
3585
Incompatibilité non précisée Incompatible
injectable Penicillin G sodium
injectable Gentamicin sulfate
3643
Incompatibilité non précisée Incompatible
injectable Penicillin G sodium
injectable Gentamicin sulfate
3520
Incompatibilité non précisée Incompatible
injectable Penicillin G sodium
injectable Heparin sodium
3540
Incompatibilité non précisée Incompatible
injectable Penicillin G sodium
injectable Hydroxyzine dihydrochloride
3585
Compatible
injectable Penicillin G sodium 0.5 MUI/ml
injectable Levofloxacine 5 mg/ml
Glucose 5% 1072
Compatible
injectable Penicillin G sodium 0.5 MUI/ml
injectable Meropenem 50 mg/ml
Eau pour préparation injectable 4319
Incompatibilité non précisée Incompatible
injectable Penicillin G sodium
injectable Metaraminol
5046
Incompatibilité non précisée Incompatible
injectable Penicillin G sodium
injectable Methylprednisolone sodium succinate
3585
Précipitation immédiate Incompatible
injectable Penicillin G sodium 0.17 MUI/ml
injectable Morphine hydrochloride 0,2 mg/ml
Chlorure de sodium 0,9% 4831
Compatible
injectable Penicillin G sodium 0,025 MUI/ml
injectable Oxytocin 0,02 UI/ml
Glucose 5% 1725
Compatible
injectable Penicillin G sodium 0,05 MUI/ml
injectable Oxytocin 0,02 UI/ml
Glucose 5% 1725
Compatible
injectable Penicillin G sodium 0,05 MUI/ml
injectable Oxytocin 0,02 UI/ml
Chlorure de sodium 0,9% 1725
Compatible
injectable Penicillin G sodium 0,025 MUI/ml
injectable Oxytocin 0,02 UI/ml
Chlorure de sodium 0,9% 1725
Compatible
injectable Penicillin G sodium
injectable Pantoprazole sodium
2090
Incompatibilité non précisée Incompatible
injectable Penicillin G sodium
injectable Promethazine hydrochloride
3585
Compatible
injectable Penicillin G sodium 100 MUI/ml
injectable Sildenafil citrate 0,6 mg/ml
Glucose 5% 4845
Compatible
injectable Penicillin G sodium
injectable Sildenafil citrate 0,6 mg/ml
Glucose 5% 4845
Précipitation immédiate Incompatible
injectable Penicillin G sodium
injectable Trimebutine
3931
Compatible
injectable Penicillin G sodium 0.01 MUI/ml
injectable Verapamil hydrochloride 0.08 mg/ml
Chlorure de sodium 0,9% 1057
Compatible
injectable Penicillin G sodium 0.01 MUI/ml
injectable Verapamil hydrochloride 0.08 mg/ml
Glucose 5% 1057
Compatible
injectable Penicillin G sodium 0,05 MUI/ml
injectable Zidovudine 4 mg/ml
Chlorure de sodium 0,9% 1725
Compatible
injectable Penicillin G sodium 0,025 MUI/ml
injectable Zidovudine 4 mg/ml
Glucose 5% 1725
Compatible
injectable Penicillin G sodium 0,025 MUI/ml
injectable Zidovudine 4 mg/ml
Chlorure de sodium 0,9% 1725
Compatible
injectable Penicillin G sodium 0,05 MUI/ml
injectable Zidovudine 4 mg/ml
Glucose 5% 1725

  Mentions Légales