viimane versioon :
31/03/2026
antibiootikum   Penicillin G sodium  
Süsteravim
Stabiilsus lahustes Stabiilsust mõjutavad tegurid stabiilsust mõjutavad faktorid Sobimatus Manustamis viis Viited pdf
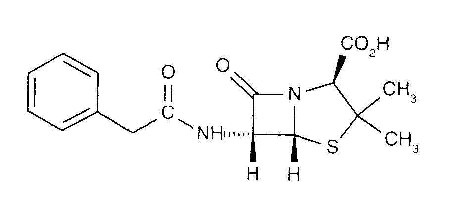
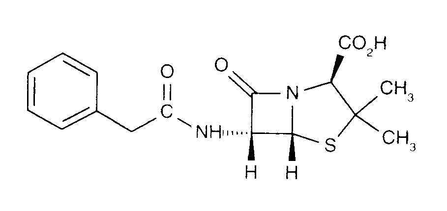
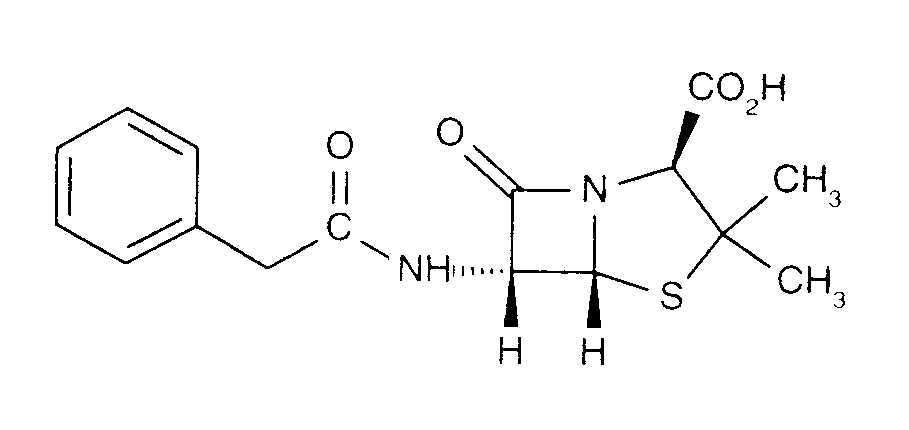
   keemiline struktuur  

Kaubanduslikud nimed erinevates maades   Kaubanduslikud nimed erinevates maades     

Preparaatide nimed on näitlikud ja abianete sisaldus võib erineda sõltuvalt riigist ja laborist

Benapen Brasiilia
Bencilpenicilina Ecuador, Maroko, Tšiili
Benpen Austraalia, uus-Meremaa
Bensylpenicillin Rootsi
Benzapen Iraan
Benzatec Lõuna Aafrika Vabariik
Benzatron Brasiilia
Benzylpenicillin Egiptus, Norra, Rootsi, Soome, Taani
Benzylpenicilline Tuneesia
Biconcillina Ecuador
Crystapen Iirimaa, Kanada, Suurbritannia
Declin Mehhiko
Fortepen Saudi Araabia
Geepenil Soome
Natrium penicillin G Holland
Novopen Lõuna Aafrika Vabariik
Pebencil Venetsueela
Penbendox Mehhiko
Penibiot Hispaania
Penicillin Norra
Penicillina G sodica Argentiina, Ecuador, Kolumbia, Portugal, Tšiili
Penilevel Hispaania
Sodiopen Hispaania
Unicillina Hispaania
Sobimatus   Süsteravim   Sobimatus : Penicillin G sodium              
Sellel lehel kuvatakse sobimatusi ja sobimatuse tüüpi (sadenemine, värvuse muutus, emulsiooni modifitseerumine jne). Enamasti on siin lehel kuvatud füüsikalised sobimatused, kuna molekulide keemilist stabiilsust hinnatakse harva. Hinnatud on segude sobivust Y-liinis. Antud infot ei saa kasutada ravimite sobivuse hindamiseks juhul, kui ravimid on segatud süstaldes või infusioonikottides. See info on lehel « stabiilsus segudes ».
ingredient lahusti Viited
Täpsustamata sobimatus Sobimatu
Süsteravim Penicillin G sodium
Süsteravim Amphotericin B
3585
Täpsustamata sobimatus Sobimatu
Süsteravim Penicillin G sodium
Süsteravim Bleomycin sulfate
4154
Ühilduv
Süsteravim Penicillin G sodium 0.5 MUI/ml
Süsteravim Caffeine 10 mg/ml
mitte ükski 3964
Täpsustamata sobimatus Sobimatu
Süsteravim Penicillin G sodium
Süsteravim Cimetidine hydrochloride
3585
Täpsustamata sobimatus Sobimatu
Süsteravim Penicillin G sodium
Süsteravim Ciprofloxacin lactate
3529
Ühilduv
Süsteravim Penicillin G sodium 500 000 MUI/ml
Ringer laktaat 4603
Ühilduv
Süsteravim Penicillin G sodium
glükoos 5% 3648
Ühilduv
Süsteravim Penicillin G sodium
naatriumkloriid 0.9% 3648
Ühilduv
Süsteravim Penicillin G sodium
naatriumkloriid 0.9% 3585
Keemiline ebastabiilsus Sobimatu
Süsteravim Penicillin G sodium
Süsteravim Amikacin sulfate
3549
Ühilduv
Süsteravim Penicillin G sodium 0.17 MUI/ml
Süsteravim Caffeine 10 mg/ml
süstevesi 4837
Ühilduv
Süsteravim Penicillin G sodium 0.17 MUI/ml
Süsteravim Caffeine citrate 20 mg/ml
süstevesi 4837
Ühilduv
Süsteravim Penicillin G sodium 0.5 MUI/ml
Süsteravim Cloxacillin sodium 100 mg/ml
süstevesi 3012
Täpsustamata sobimatus Sobimatu
Süsteravim Penicillin G sodium
Süsteravim Cytarabine
3580
Täpsustamata sobimatus Sobimatu
Süsteravim Penicillin G sodium
Süsteravim Cytarabine
3585
Ühilduv
Süsteravim Penicillin G sodium 0,5 MUI/ml
Süsteravim Dexmedetomidine 100 µg/ml
4389
Ühilduv
Süsteravim Penicillin G sodium
Süsteravim Dimenhydrinate
2087
Täpsustamata sobimatus Sobimatu
Süsteravim Penicillin G sodium
Süsteravim Erythromycin lactobionate
3674
Täpsustamata sobimatus Sobimatu
Süsteravim Penicillin G sodium
Süsteravim Flucloxacillin sodium
3585
Täpsustamata sobimatus Sobimatu
Süsteravim Penicillin G sodium
Süsteravim Gentamicin sulfate
3643
Täpsustamata sobimatus Sobimatu
Süsteravim Penicillin G sodium
Süsteravim Gentamicin sulfate
3520
Täpsustamata sobimatus Sobimatu
Süsteravim Penicillin G sodium
Süsteravim Heparin sodium
3540
Täpsustamata sobimatus Sobimatu
Süsteravim Penicillin G sodium
Süsteravim Hydroxyzine dihydrochloride
3585
Ühilduv
Süsteravim Penicillin G sodium 0.5 MUI/ml
Süsteravim Levofloxacine 5 mg/ml
glükoos 5% 1072
Ühilduv
Süsteravim Penicillin G sodium 0.5 MUI/ml
Süsteravim Meropenem 50 mg/ml
süstevesi 4319
Täpsustamata sobimatus Sobimatu
Süsteravim Penicillin G sodium
Süsteravim Metaraminol
5046
Täpsustamata sobimatus Sobimatu
Süsteravim Penicillin G sodium
Süsteravim Methylprednisolone sodium succinate
3585
Kohene sade Sobimatu
Süsteravim Penicillin G sodium 0.17 MUI/ml
Süsteravim Morphine hydrochloride 0,2 mg/ml
naatriumkloriid 0.9% 4831
Ühilduv
Süsteravim Penicillin G sodium 0,025 MUI/ml
Süsteravim Oxytocin 0,02 UI/ml
glükoos 5% 1725
Ühilduv
Süsteravim Penicillin G sodium 0,05 MUI/ml
Süsteravim Oxytocin 0,02 UI/ml
glükoos 5% 1725
Ühilduv
Süsteravim Penicillin G sodium 0,05 MUI/ml
Süsteravim Oxytocin 0,02 UI/ml
naatriumkloriid 0.9% 1725
Ühilduv
Süsteravim Penicillin G sodium 0,025 MUI/ml
Süsteravim Oxytocin 0,02 UI/ml
naatriumkloriid 0.9% 1725
Ühilduv
Süsteravim Penicillin G sodium
Süsteravim Pantoprazole sodium
2090
Täpsustamata sobimatus Sobimatu
Süsteravim Penicillin G sodium
Süsteravim Promethazine hydrochloride
3585
Ühilduv
Süsteravim Penicillin G sodium 100 MUI/ml
Süsteravim Sildenafil citrate 0,6 mg/ml
glükoos 5% 4845
Ühilduv
Süsteravim Penicillin G sodium
Süsteravim Sildenafil citrate 0,6 mg/ml
glükoos 5% 4845
Kohene sade Sobimatu
Süsteravim Penicillin G sodium
Süsteravim Trimebutine
3931
Ühilduv
Süsteravim Penicillin G sodium 0.01 MUI/ml
Süsteravim Verapamil hydrochloride 0.08 mg/ml
naatriumkloriid 0.9% 1057
Ühilduv
Süsteravim Penicillin G sodium 0.01 MUI/ml
Süsteravim Verapamil hydrochloride 0.08 mg/ml
glükoos 5% 1057
Ühilduv
Süsteravim Penicillin G sodium 0,05 MUI/ml
Süsteravim Zidovudine 4 mg/ml
naatriumkloriid 0.9% 1725
Ühilduv
Süsteravim Penicillin G sodium 0,025 MUI/ml
Süsteravim Zidovudine 4 mg/ml
glükoos 5% 1725
Ühilduv
Süsteravim Penicillin G sodium 0,025 MUI/ml
Süsteravim Zidovudine 4 mg/ml
naatriumkloriid 0.9% 1725
Ühilduv
Süsteravim Penicillin G sodium 0,05 MUI/ml
Süsteravim Zidovudine 4 mg/ml
glükoos 5% 1725

  Mentions Légales