Cập nhật lần cuối :
31/03/2026
Kháng sinh   Penicillin G sodium  
Dạng tiêm
Tính ổn định của các dung dịch Độ ổn định khi trộn lẫn Những yếu tố ảnh hưởng đến độ ổn định Khả năng tương thích Đường dùng Tài liệu tham khảo Pdf
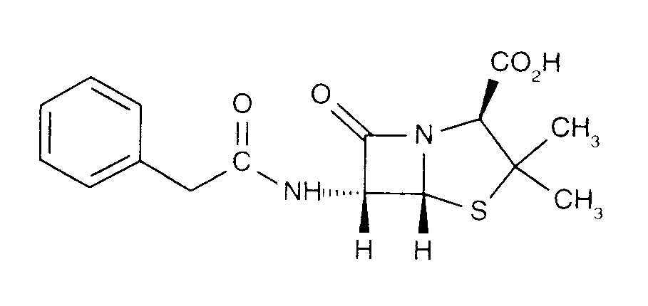
   Cấu trúc hóa học  

Tên thương mại   Tên thương mại     

Các tên thương mại được cung cấp và thành phần tá dược có thể khác nhau giữa các quốc gia và các hãng dược

Benapen Brazil
Bencilpenicilina Chile, Ecuador, Peru
Benpen new zealand, Úc
Bensylpenicillin Thụy Điển
Benzapen Iran
Benzatec Cộng hòa Nam Phi
Benzatron Brazil
Benzylpenicillin Ả Rập, Na Uy, Phần Lan, Thụy Điển, Đan Mạch
Benzylpenicilline Tunisia
Biconcillina Ecuador
Crystapen Anh, Canada, Ireland
Declin Mexico
Fortepen Ả Rập Saudi
Geepenil Phần Lan
Natrium penicillin G Hà Lan
Novopen Cộng hòa Nam Phi
Pebencil Venezuela
Penbendox Mexico
Penibiot Tây Ban Nha
Penicillin Na Uy
Penicillina G sodica Argentina, Bồ Đào Nha, Chile, Colombia, Ecuador
Penilevel Tây Ban Nha
Sodiopen Tây Ban Nha
Unicillina Tây Ban Nha
Khả năng tương thích   Dạng tiêm   Khả năng tương thích : Penicillin G sodium              
Màn hình này cho biết khả năng tương thích hoặc không tương thích, trong trường hợp này là loại không tương thích (kết tủa, thay đổi màu sắc, sửa đổi nhũ tương, v.v.). Sự tương hợp được chỉ ra ở đây chủ yếu chỉ là vật lý, với độ ổn định hóa học của mỗi phân tử hiếm khi được đánh giá. Việc đánh giá các hỗn hợp này được nghiên cứu để xem xét khả năng sử dụng vị trí Y cho bệnh nhân. Những dữ liệu này không thể được sử dụng để tạo hỗn hợp trước trong túi hoặc ống tiêm. Loại thông tin này có sẵn trong màn hình "Độ ổn định trong hỗn hợp».
Phân tử Dung môi Mục lục
Không tương thích không xác định Không tương thích
Dạng tiêm Penicillin G sodium
Dạng tiêm Amphotericin B
3585
Không tương thích không xác định Không tương thích
Dạng tiêm Penicillin G sodium
Dạng tiêm Bleomycin sulfate
4154
Tương thích
Dạng tiêm Penicillin G sodium 0.5 MUI/ml
Dạng tiêm Caffeine 10 mg/ml
Không 3964
Không tương thích không xác định Không tương thích
Dạng tiêm Penicillin G sodium
Dạng tiêm Cimetidine hydrochloride
3585
Không tương thích không xác định Không tương thích
Dạng tiêm Penicillin G sodium
Dạng tiêm Ciprofloxacin lactate
3529
Tương thích
Dạng tiêm Penicillin G sodium 500 000 MUI/ml
Dung dịch Ringer’s lactate 4603
Tương thích
Dạng tiêm Penicillin G sodium
Glucose 5% 3648
Tương thích
Dạng tiêm Penicillin G sodium
NaCl 0,9% 3648
Tương thích
Dạng tiêm Penicillin G sodium
NaCl 0,9% 3585
Không ổn định hóa học Không tương thích
Dạng tiêm Penicillin G sodium
Dạng tiêm Amikacin sulfate
3549
Tương thích
Dạng tiêm Penicillin G sodium 0.17 MUI/ml
Dạng tiêm Caffeine 10 mg/ml
Nước cất pha tiêm 4837
Tương thích
Dạng tiêm Penicillin G sodium 0.17 MUI/ml
Dạng tiêm Caffeine citrate 20 mg/ml
Nước cất pha tiêm 4837
Tương thích
Dạng tiêm Penicillin G sodium 0.5 MUI/ml
Dạng tiêm Cloxacillin sodium 100 mg/ml
Nước cất pha tiêm 3012
Không tương thích không xác định Không tương thích
Dạng tiêm Penicillin G sodium
Dạng tiêm Cytarabine
3580
Không tương thích không xác định Không tương thích
Dạng tiêm Penicillin G sodium
Dạng tiêm Cytarabine
3585
Tương thích
Dạng tiêm Penicillin G sodium 0,5 MUI/ml
Dạng tiêm Dexmedetomidine 100 µg/ml
4389
Tương thích
Dạng tiêm Penicillin G sodium
Dạng tiêm Dimenhydrinate
2087
Không tương thích không xác định Không tương thích
Dạng tiêm Penicillin G sodium
Dạng tiêm Erythromycin lactobionate
3674
Không tương thích không xác định Không tương thích
Dạng tiêm Penicillin G sodium
Dạng tiêm Flucloxacillin sodium
3585
Không tương thích không xác định Không tương thích
Dạng tiêm Penicillin G sodium
Dạng tiêm Gentamicin sulfate
3643
Không tương thích không xác định Không tương thích
Dạng tiêm Penicillin G sodium
Dạng tiêm Gentamicin sulfate
3520
Không tương thích không xác định Không tương thích
Dạng tiêm Penicillin G sodium
Dạng tiêm Heparin sodium
3540
Không tương thích không xác định Không tương thích
Dạng tiêm Penicillin G sodium
Dạng tiêm Hydroxyzine dihydrochloride
3585
Tương thích
Dạng tiêm Penicillin G sodium 0.5 MUI/ml
Dạng tiêm Levofloxacine 5 mg/ml
Glucose 5% 1072
Tương thích
Dạng tiêm Penicillin G sodium 0.5 MUI/ml
Dạng tiêm Meropenem 50 mg/ml
Nước cất pha tiêm 4319
Không tương thích không xác định Không tương thích
Dạng tiêm Penicillin G sodium
Dạng tiêm Metaraminol
5046
Không tương thích không xác định Không tương thích
Dạng tiêm Penicillin G sodium
Dạng tiêm Methylprednisolone sodium succinate
3585
Lượng mưa ngay lập tức Không tương thích
Dạng tiêm Penicillin G sodium 0.17 MUI/ml
Dạng tiêm Morphine hydrochloride 0,2 mg/ml
NaCl 0,9% 4831
Tương thích
Dạng tiêm Penicillin G sodium 0,025 MUI/ml
Dạng tiêm Oxytocin 0,02 UI/ml
Glucose 5% 1725
Tương thích
Dạng tiêm Penicillin G sodium 0,05 MUI/ml
Dạng tiêm Oxytocin 0,02 UI/ml
Glucose 5% 1725
Tương thích
Dạng tiêm Penicillin G sodium 0,05 MUI/ml
Dạng tiêm Oxytocin 0,02 UI/ml
NaCl 0,9% 1725
Tương thích
Dạng tiêm Penicillin G sodium 0,025 MUI/ml
Dạng tiêm Oxytocin 0,02 UI/ml
NaCl 0,9% 1725
Tương thích
Dạng tiêm Penicillin G sodium
Dạng tiêm Pantoprazole sodium
2090
Không tương thích không xác định Không tương thích
Dạng tiêm Penicillin G sodium
Dạng tiêm Promethazine hydrochloride
3585
Tương thích
Dạng tiêm Penicillin G sodium 100 MUI/ml
Dạng tiêm Sildenafil citrate 0,6 mg/ml
Glucose 5% 4845
Tương thích
Dạng tiêm Penicillin G sodium
Dạng tiêm Sildenafil citrate 0,6 mg/ml
Glucose 5% 4845
Lượng mưa ngay lập tức Không tương thích
Dạng tiêm Penicillin G sodium
Dạng tiêm Trimebutine
3931
Tương thích
Dạng tiêm Penicillin G sodium 0.01 MUI/ml
Dạng tiêm Verapamil hydrochloride 0.08 mg/ml
NaCl 0,9% 1057
Tương thích
Dạng tiêm Penicillin G sodium 0.01 MUI/ml
Dạng tiêm Verapamil hydrochloride 0.08 mg/ml
Glucose 5% 1057
Tương thích
Dạng tiêm Penicillin G sodium 0,05 MUI/ml
Dạng tiêm Zidovudine 4 mg/ml
NaCl 0,9% 1725
Tương thích
Dạng tiêm Penicillin G sodium 0,025 MUI/ml
Dạng tiêm Zidovudine 4 mg/ml
Glucose 5% 1725
Tương thích
Dạng tiêm Penicillin G sodium 0,025 MUI/ml
Dạng tiêm Zidovudine 4 mg/ml
NaCl 0,9% 1725
Tương thích
Dạng tiêm Penicillin G sodium 0,05 MUI/ml
Dạng tiêm Zidovudine 4 mg/ml
Glucose 5% 1725

  Mentions Légales