Senaste uppdateringen :
31/03/2026
Antibiotikum   Penicillin G sodium  
injektion
Lösningars stabilitet Stabilitet i blandningar Faktorer som påverkar stabiliteten Kompatibilitet Administreringssätt Hänvisningar pdf
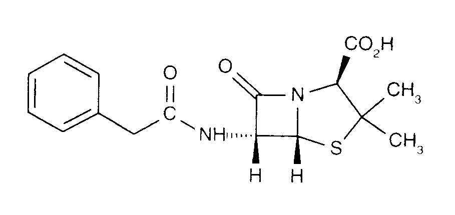
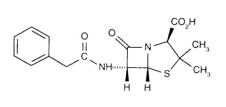
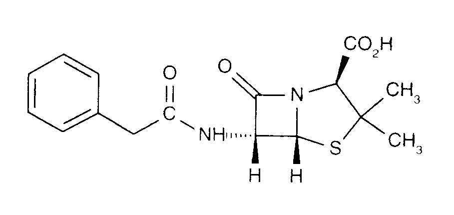
   Molekylstruktur  

Varunamn   Varunamn     

Angivna handelsnamn på läkemedel är enbart vägledande då formulering inklusive hjälpämnen kan variera mellan länder och tillverkare

Benapen Brasilien
Bencilpenicilina Chile, Ecuador, Peru
Benpen Australien, nya Zeeland
Bensylpenicillin Sverige
Benzapen Iran
Benzatec Sydafrikanska republiken
Benzatron Brasilien
Benzylpenicillin Danmark, Egypten, Finland, Norge, Sverige
Benzylpenicilline Tunisien
Biconcillina Ecuador
Crystapen Irland, Kanada, Storbritannien
Declin Mexiko
Fortepen Saudi-Arabien
Geepenil Finland
Natrium penicillin G Nederländerna
Novopen Sydafrikanska republiken
Pebencil Venezuela
Penbendox Mexiko
Penibiot Spanien
Penicillin Norge
Penicillina G sodica Argentina, Chile, Colombia, Ecuador, Portugal
Penilevel Spanien
Sodiopen Spanien
Unicillina Spanien
Kompatibilitet   injektion   Kompatibilitet : Penicillin G sodium              
Den här skärmen visar kompatibiliteten eller inkompatibiliteten med, i detta fall, typen av inkompatibilitet (utfällning, färgförändring, modifiering av en emulsion, etc.). De kompatibiliteter som visas här är oftast endast fysiska, varvid den kemiska stabiliteten för varje molekyl sällan utvärderas. Utvärderingen av dessa blandningar studerades för att överväga möjligheten för Y-platsadministrering till patienten. Dessa data kan inte användas för att göra blandningar i förväg i påsar eller sprutor. Denna typ av information finns på skärmen "Stabilitet i blandning".
Substans Lösningsmedel Hänvisningar
Ospecificerad inkompatibilitet Oförenlig
injektion Penicillin G sodium
injektion Amphotericin B
3585
Ospecificerad inkompatibilitet Oförenlig
injektion Penicillin G sodium
injektion Bleomycin sulfate
4154
Kompatibel
injektion Penicillin G sodium 0.5 MUI/ml
injektion Caffeine 10 mg/ml
Ingen 3964
Ospecificerad inkompatibilitet Oförenlig
injektion Penicillin G sodium
injektion Cimetidine hydrochloride
3585
Ospecificerad inkompatibilitet Oförenlig
injektion Penicillin G sodium
injektion Ciprofloxacin lactate
3529
Kompatibel
injektion Penicillin G sodium 500 000 MUI/ml
Ringer-laktatlösning 4603
Kompatibel
injektion Penicillin G sodium
Glukos 5 % 3648
Kompatibel
injektion Penicillin G sodium
Natriumklorid 0,9 % 3648
Kompatibel
injektion Penicillin G sodium
Natriumklorid 0,9 % 3585
Kemisk instabilitet Oförenlig
injektion Penicillin G sodium
injektion Amikacin sulfate
3549
Kompatibel
injektion Penicillin G sodium 0.17 MUI/ml
injektion Caffeine 10 mg/ml
Vatten för injektion 4837
Kompatibel
injektion Penicillin G sodium 0.17 MUI/ml
injektion Caffeine citrate 20 mg/ml
Vatten för injektion 4837
Kompatibel
injektion Penicillin G sodium 0.5 MUI/ml
injektion Cloxacillin sodium 100 mg/ml
Vatten för injektion 3012
Ospecificerad inkompatibilitet Oförenlig
injektion Penicillin G sodium
injektion Cytarabine
3580
Ospecificerad inkompatibilitet Oförenlig
injektion Penicillin G sodium
injektion Cytarabine
3585
Kompatibel
injektion Penicillin G sodium 0,5 MUI/ml
injektion Dexmedetomidine 100 µg/ml
4389
Kompatibel
injektion Penicillin G sodium
injektion Dimenhydrinate
2087
Ospecificerad inkompatibilitet Oförenlig
injektion Penicillin G sodium
injektion Erythromycin lactobionate
3674
Ospecificerad inkompatibilitet Oförenlig
injektion Penicillin G sodium
injektion Flucloxacillin sodium
3585
Ospecificerad inkompatibilitet Oförenlig
injektion Penicillin G sodium
injektion Gentamicin sulfate
3643
Ospecificerad inkompatibilitet Oförenlig
injektion Penicillin G sodium
injektion Gentamicin sulfate
3520
Ospecificerad inkompatibilitet Oförenlig
injektion Penicillin G sodium
injektion Heparin sodium
3540
Ospecificerad inkompatibilitet Oförenlig
injektion Penicillin G sodium
injektion Hydroxyzine dihydrochloride
3585
Kompatibel
injektion Penicillin G sodium 0.5 MUI/ml
injektion Levofloxacine 5 mg/ml
Glukos 5 % 1072
Kompatibel
injektion Penicillin G sodium 0.5 MUI/ml
injektion Meropenem 50 mg/ml
Vatten för injektion 4319
Ospecificerad inkompatibilitet Oförenlig
injektion Penicillin G sodium
injektion Metaraminol
5046
Ospecificerad inkompatibilitet Oförenlig
injektion Penicillin G sodium
injektion Methylprednisolone sodium succinate
3585
Omedelbar nederbörd Oförenlig
injektion Penicillin G sodium 0.17 MUI/ml
injektion Morphine hydrochloride 0,2 mg/ml
Natriumklorid 0,9 % 4831
Kompatibel
injektion Penicillin G sodium 0,025 MUI/ml
injektion Oxytocin 0,02 UI/ml
Glukos 5 % 1725
Kompatibel
injektion Penicillin G sodium 0,05 MUI/ml
injektion Oxytocin 0,02 UI/ml
Glukos 5 % 1725
Kompatibel
injektion Penicillin G sodium 0,05 MUI/ml
injektion Oxytocin 0,02 UI/ml
Natriumklorid 0,9 % 1725
Kompatibel
injektion Penicillin G sodium 0,025 MUI/ml
injektion Oxytocin 0,02 UI/ml
Natriumklorid 0,9 % 1725
Kompatibel
injektion Penicillin G sodium
injektion Pantoprazole sodium
2090
Ospecificerad inkompatibilitet Oförenlig
injektion Penicillin G sodium
injektion Promethazine hydrochloride
3585
Kompatibel
injektion Penicillin G sodium 100 MUI/ml
injektion Sildenafil citrate 0,6 mg/ml
Glukos 5 % 4845
Kompatibel
injektion Penicillin G sodium
injektion Sildenafil citrate 0,6 mg/ml
Glukos 5 % 4845
Omedelbar nederbörd Oförenlig
injektion Penicillin G sodium
injektion Trimebutine
3931
Kompatibel
injektion Penicillin G sodium 0.01 MUI/ml
injektion Verapamil hydrochloride 0.08 mg/ml
Natriumklorid 0,9 % 1057
Kompatibel
injektion Penicillin G sodium 0.01 MUI/ml
injektion Verapamil hydrochloride 0.08 mg/ml
Glukos 5 % 1057
Kompatibel
injektion Penicillin G sodium 0,05 MUI/ml
injektion Zidovudine 4 mg/ml
Natriumklorid 0,9 % 1725
Kompatibel
injektion Penicillin G sodium 0,025 MUI/ml
injektion Zidovudine 4 mg/ml
Glukos 5 % 1725
Kompatibel
injektion Penicillin G sodium 0,025 MUI/ml
injektion Zidovudine 4 mg/ml
Natriumklorid 0,9 % 1725
Kompatibel
injektion Penicillin G sodium 0,05 MUI/ml
injektion Zidovudine 4 mg/ml
Glukos 5 % 1725

  Mentions Légales