Última actualização :
31/03/2026
antibiótico   Penicillin G sodium  
injetável
Estabilidade em soluções simples Estabilidade em misturas Factores que afectam a sua estabilidade Compatibilidade Método de administração Bibliografía pdf
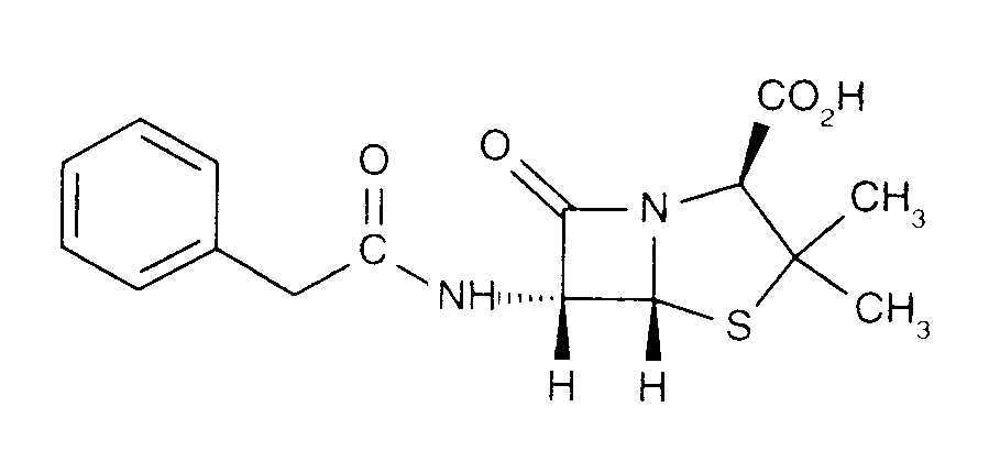
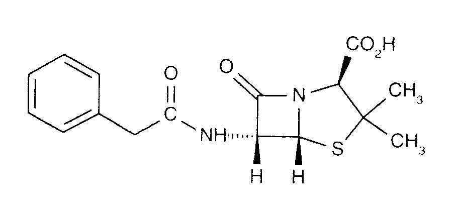
   estrutura química  

Nomes comerciais nos diversos países   Nomes comerciais nos diversos países     

OS NOMES COMERCIAIS SÃO INDICATIVOS E OS EXCIPIENTES DA FORMULAÇÃO PODEM SER DIFERENTES CONFORME O PAÍS E FABRICANTE.

Benapen Brasil
Bencilpenicilina Chilli, Equator, Peru
Benpen Australia, nova Zelândia
Bensylpenicillin Suècia
Benzapen Irã
Benzatec Africa do sul
Benzatron Brasil
Benzylpenicillin Dinamarca, Egipto, Finlandia, Noruega, Suècia
Benzylpenicilline Tunísia
Biconcillina Equator
Crystapen Canadá, Gran-bretanha, Irlanda
Declin México
Fortepen Arábia Saudita
Geepenil Finlandia
Natrium penicillin G Países Baixos
Novopen Africa do sul
Pebencil Venezuela
Penbendox México
Penibiot Espanha
Penicillin Noruega
Penicillina G sodica Argentina, Chilli, Colômbia, Equator, Portugal
Penilevel Espanha
Sodiopen Espanha
Unicillina Espanha
Compatibilidade   injetável   Compatibilidade : Penicillin G sodium              
Este ecrã indica as compatibilidades ou incompatibilidades com, neste caso, o tipo de incompatibilidade (precipitação, mudança de cor, modificação de uma emulsão, etc.). As compatibilidades mostradas aqui são principalmente físicas, com a estabilidade química de cada molécula raramente sendo avaliada. A avaliação dessas misturas foi estudada para considerar a possibilidade de administração do local Y ao paciente. Estes dados não podem ser usados para fazer misturas antecipadamente em sacos ou seringas. Este tipo de informação está disponível na tela “Estabilidade na mistura».
molécula Solvente Bibliografia
Incompatibilidade não especificada Incompatível
injetável Penicillin G sodium
injetável Amphotericin B
3585
Incompatibilidade não especificada Incompatível
injetável Penicillin G sodium
injetável Bleomycin sulfate
4154
Compatível
injetável Penicillin G sodium 0.5 MUI/ml
injetável Caffeine 10 mg/ml
nenhum 3964
Incompatibilidade não especificada Incompatível
injetável Penicillin G sodium
injetável Cimetidine hydrochloride
3585
Incompatibilidade não especificada Incompatível
injetável Penicillin G sodium
injetável Ciprofloxacin lactate
3529
Compatível
injetável Penicillin G sodium 500 000 MUI/ml
Ringer lactato 4603
Compatível
injetável Penicillin G sodium
Glucose 5% 3648
Compatível
injetável Penicillin G sodium
cloreto de sódio 0,9% 3648
Compatível
injetável Penicillin G sodium
cloreto de sódio 0,9% 3585
Instabilidade química Incompatível
injetável Penicillin G sodium
injetável Amikacin sulfate
3549
Compatível
injetável Penicillin G sodium 0.17 MUI/ml
injetável Caffeine 10 mg/ml
Agua para injectaveis 4837
Compatível
injetável Penicillin G sodium 0.17 MUI/ml
injetável Caffeine citrate 20 mg/ml
Agua para injectaveis 4837
Compatível
injetável Penicillin G sodium 0.5 MUI/ml
injetável Cloxacillin sodium 100 mg/ml
Agua para injectaveis 3012
Incompatibilidade não especificada Incompatível
injetável Penicillin G sodium
injetável Cytarabine
3580
Incompatibilidade não especificada Incompatível
injetável Penicillin G sodium
injetável Cytarabine
3585
Compatível
injetável Penicillin G sodium 0,5 MUI/ml
injetável Dexmedetomidine 100 µg/ml
4389
Compatível
injetável Penicillin G sodium
injetável Dimenhydrinate
2087
Incompatibilidade não especificada Incompatível
injetável Penicillin G sodium
injetável Erythromycin lactobionate
3674
Incompatibilidade não especificada Incompatível
injetável Penicillin G sodium
injetável Flucloxacillin sodium
3585
Incompatibilidade não especificada Incompatível
injetável Penicillin G sodium
injetável Gentamicin sulfate
3643
Incompatibilidade não especificada Incompatível
injetável Penicillin G sodium
injetável Gentamicin sulfate
3520
Incompatibilidade não especificada Incompatível
injetável Penicillin G sodium
injetável Heparin sodium
3540
Incompatibilidade não especificada Incompatível
injetável Penicillin G sodium
injetável Hydroxyzine dihydrochloride
3585
Compatível
injetável Penicillin G sodium 0.5 MUI/ml
injetável Levofloxacine 5 mg/ml
Glucose 5% 1072
Compatível
injetável Penicillin G sodium 0.5 MUI/ml
injetável Meropenem 50 mg/ml
Agua para injectaveis 4319
Incompatibilidade não especificada Incompatível
injetável Penicillin G sodium
injetável Metaraminol
5046
Incompatibilidade não especificada Incompatível
injetável Penicillin G sodium
injetável Methylprednisolone sodium succinate
3585
Precipitação imediata Incompatível
injetável Penicillin G sodium 0.17 MUI/ml
injetável Morphine hydrochloride 0,2 mg/ml
cloreto de sódio 0,9% 4831
Compatível
injetável Penicillin G sodium 0,025 MUI/ml
injetável Oxytocin 0,02 UI/ml
Glucose 5% 1725
Compatível
injetável Penicillin G sodium 0,05 MUI/ml
injetável Oxytocin 0,02 UI/ml
Glucose 5% 1725
Compatível
injetável Penicillin G sodium 0,05 MUI/ml
injetável Oxytocin 0,02 UI/ml
cloreto de sódio 0,9% 1725
Compatível
injetável Penicillin G sodium 0,025 MUI/ml
injetável Oxytocin 0,02 UI/ml
cloreto de sódio 0,9% 1725
Compatível
injetável Penicillin G sodium
injetável Pantoprazole sodium
2090
Incompatibilidade não especificada Incompatível
injetável Penicillin G sodium
injetável Promethazine hydrochloride
3585
Compatível
injetável Penicillin G sodium 100 MUI/ml
injetável Sildenafil citrate 0,6 mg/ml
Glucose 5% 4845
Compatível
injetável Penicillin G sodium
injetável Sildenafil citrate 0,6 mg/ml
Glucose 5% 4845
Precipitação imediata Incompatível
injetável Penicillin G sodium
injetável Trimebutine
3931
Compatível
injetável Penicillin G sodium 0.01 MUI/ml
injetável Verapamil hydrochloride 0.08 mg/ml
cloreto de sódio 0,9% 1057
Compatível
injetável Penicillin G sodium 0.01 MUI/ml
injetável Verapamil hydrochloride 0.08 mg/ml
Glucose 5% 1057
Compatível
injetável Penicillin G sodium 0,05 MUI/ml
injetável Zidovudine 4 mg/ml
cloreto de sódio 0,9% 1725
Compatível
injetável Penicillin G sodium 0,025 MUI/ml
injetável Zidovudine 4 mg/ml
Glucose 5% 1725
Compatível
injetável Penicillin G sodium 0,025 MUI/ml
injetável Zidovudine 4 mg/ml
cloreto de sódio 0,9% 1725
Compatível
injetável Penicillin G sodium 0,05 MUI/ml
injetável Zidovudine 4 mg/ml
Glucose 5% 1725

  Mentions Légales