Zadnji put ažurirano :
31/03/2026
antibiotik   Penicillin G sodium  
injekcija
Stabilizacija rješenja Stabilnost mješavine Stabilizacijski faktor Kompatibilnosti način davanja lijeka Bibliografija pdf
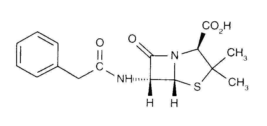
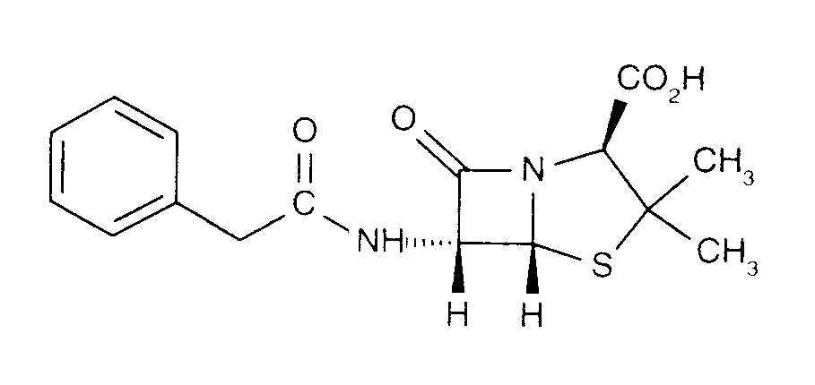
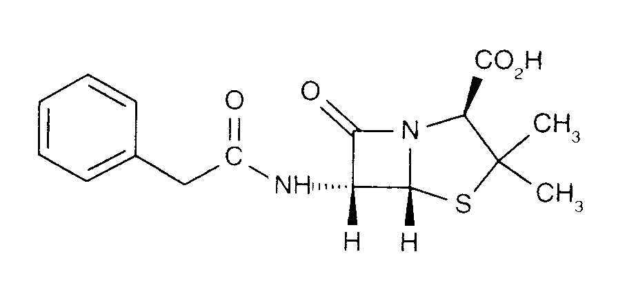
   Kemijska struktura  

Nekomercijalni   Nekomercijalni     

Zaštićeni nazivi su indikativni i sastav ekscipijensa može biti različit ovisno o državi i laboratorijima

Benapen Brazil
Bencilpenicilina Čile, Ekvador, Peru
Benpen Australija, novi Zeland
Bensylpenicillin Švedska
Benzapen Iran
Benzatec Južna Afrika
Benzatron Brazil
Benzylpenicillin Danska, Egipat, Finska, Norveška, Švedska
Benzylpenicilline Tunis
Biconcillina Ekvador
Crystapen Irska, Kanada, Velika Britanija
Declin Meksiko
Fortepen Saudijska Arabija
Geepenil Finska
Natrium penicillin G Nizozemska
Novopen Južna Afrika
Pebencil Venecuela
Penbendox Meksiko
Penibiot Španjolska
Penicillin Norveška
Penicillina G sodica Argentina, Čile, Ekvador, Kolumbija, Portugal
Penilevel Španjolska
Sodiopen Španjolska
Unicillina Španjolska
Kompatibilnosti   injekcija   Kompatibilnosti : Penicillin G sodium              
Ovdje su prikazane kompatibilnosti ili nekompatibilnosti s tipom nekompatibilnosti (taloženje, promjena boje, modifikacija emulzije itd.) u ovom slučaju. Kompatibilnosti prikazane ovdje najčešće su fizikalne dok se kemijska stabilnost molekule rijetko procjenjuje. Procjena ovih mikstura je proučavana kako bi se razmotrila mogućnost primjene lijeka putem Y-mjesta. Ovi se podaci ne smiju koristiti za pripremu mikstura unaprijed u vrećicama ili štrcaljkama. Ova vrsta informacije se može pronaći u odjeljku « stabilnost u miksturama ».
molekula sredstvo za rastapanje Bibliografija
Neodređena nespojivost inkompatibilan
injekcija Penicillin G sodium
injekcija Amphotericin B
3585
Neodređena nespojivost inkompatibilan
injekcija Penicillin G sodium
injekcija Bleomycin sulfate
4154
Kompatibilan
injekcija Penicillin G sodium 0.5 MUI/ml
injekcija Caffeine 10 mg/ml
nijedan 3964
Neodređena nespojivost inkompatibilan
injekcija Penicillin G sodium
injekcija Cimetidine hydrochloride
3585
Neodređena nespojivost inkompatibilan
injekcija Penicillin G sodium
injekcija Ciprofloxacin lactate
3529
Kompatibilan
injekcija Penicillin G sodium 500 000 MUI/ml
Ringer laktat 4603
Kompatibilan
injekcija Penicillin G sodium
glukoza 5% 3648
Kompatibilan
injekcija Penicillin G sodium
natrijumkorid 0,9% 3648
Kompatibilan
injekcija Penicillin G sodium
natrijumkorid 0,9% 3585
Kemijska nestabilnost inkompatibilan
injekcija Penicillin G sodium
injekcija Amikacin sulfate
3549
Kompatibilan
injekcija Penicillin G sodium 0.17 MUI/ml
injekcija Caffeine 10 mg/ml
čista voda za injektiranje 4837
Kompatibilan
injekcija Penicillin G sodium 0.17 MUI/ml
injekcija Caffeine citrate 20 mg/ml
čista voda za injektiranje 4837
Kompatibilan
injekcija Penicillin G sodium 0.5 MUI/ml
injekcija Cloxacillin sodium 100 mg/ml
čista voda za injektiranje 3012
Neodređena nespojivost inkompatibilan
injekcija Penicillin G sodium
injekcija Cytarabine
3580
Neodređena nespojivost inkompatibilan
injekcija Penicillin G sodium
injekcija Cytarabine
3585
Kompatibilan
injekcija Penicillin G sodium 0,5 MUI/ml
injekcija Dexmedetomidine 100 µg/ml
4389
Kompatibilan
injekcija Penicillin G sodium
injekcija Dimenhydrinate
2087
Neodređena nespojivost inkompatibilan
injekcija Penicillin G sodium
injekcija Erythromycin lactobionate
3674
Neodređena nespojivost inkompatibilan
injekcija Penicillin G sodium
injekcija Flucloxacillin sodium
3585
Neodređena nespojivost inkompatibilan
injekcija Penicillin G sodium
injekcija Gentamicin sulfate
3643
Neodređena nespojivost inkompatibilan
injekcija Penicillin G sodium
injekcija Gentamicin sulfate
3520
Neodređena nespojivost inkompatibilan
injekcija Penicillin G sodium
injekcija Heparin sodium
3540
Neodređena nespojivost inkompatibilan
injekcija Penicillin G sodium
injekcija Hydroxyzine dihydrochloride
3585
Kompatibilan
injekcija Penicillin G sodium 0.5 MUI/ml
injekcija Levofloxacine 5 mg/ml
glukoza 5% 1072
Kompatibilan
injekcija Penicillin G sodium 0.5 MUI/ml
injekcija Meropenem 50 mg/ml
čista voda za injektiranje 4319
Neodređena nespojivost inkompatibilan
injekcija Penicillin G sodium
injekcija Metaraminol
5046
Neodređena nespojivost inkompatibilan
injekcija Penicillin G sodium
injekcija Methylprednisolone sodium succinate
3585
Neposredne oborine inkompatibilan
injekcija Penicillin G sodium 0.17 MUI/ml
injekcija Morphine hydrochloride 0,2 mg/ml
natrijumkorid 0,9% 4831
Kompatibilan
injekcija Penicillin G sodium 0,025 MUI/ml
injekcija Oxytocin 0,02 UI/ml
glukoza 5% 1725
Kompatibilan
injekcija Penicillin G sodium 0,05 MUI/ml
injekcija Oxytocin 0,02 UI/ml
glukoza 5% 1725
Kompatibilan
injekcija Penicillin G sodium 0,05 MUI/ml
injekcija Oxytocin 0,02 UI/ml
natrijumkorid 0,9% 1725
Kompatibilan
injekcija Penicillin G sodium 0,025 MUI/ml
injekcija Oxytocin 0,02 UI/ml
natrijumkorid 0,9% 1725
Kompatibilan
injekcija Penicillin G sodium
injekcija Pantoprazole sodium
2090
Neodređena nespojivost inkompatibilan
injekcija Penicillin G sodium
injekcija Promethazine hydrochloride
3585
Kompatibilan
injekcija Penicillin G sodium 100 MUI/ml
injekcija Sildenafil citrate 0,6 mg/ml
glukoza 5% 4845
Kompatibilan
injekcija Penicillin G sodium
injekcija Sildenafil citrate 0,6 mg/ml
glukoza 5% 4845
Neposredne oborine inkompatibilan
injekcija Penicillin G sodium
injekcija Trimebutine
3931
Kompatibilan
injekcija Penicillin G sodium 0.01 MUI/ml
injekcija Verapamil hydrochloride 0.08 mg/ml
natrijumkorid 0,9% 1057
Kompatibilan
injekcija Penicillin G sodium 0.01 MUI/ml
injekcija Verapamil hydrochloride 0.08 mg/ml
glukoza 5% 1057
Kompatibilan
injekcija Penicillin G sodium 0,05 MUI/ml
injekcija Zidovudine 4 mg/ml
natrijumkorid 0,9% 1725
Kompatibilan
injekcija Penicillin G sodium 0,025 MUI/ml
injekcija Zidovudine 4 mg/ml
glukoza 5% 1725
Kompatibilan
injekcija Penicillin G sodium 0,025 MUI/ml
injekcija Zidovudine 4 mg/ml
natrijumkorid 0,9% 1725
Kompatibilan
injekcija Penicillin G sodium 0,05 MUI/ml
injekcija Zidovudine 4 mg/ml
glukoza 5% 1725

  Mentions Légales