zadnja posodobitev :
31/03/2026
Antibiotik   Penicillin G sodium  
Brizgalka
Stabilnost raztopine Stabilnost mešanice Faktorji, ki vplivajo na stabilnost Kompatibilnost način aplikacije Viri pdf
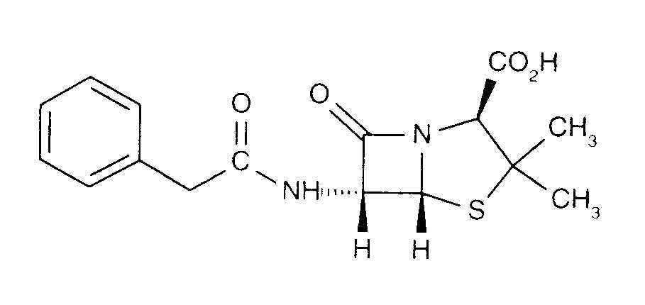
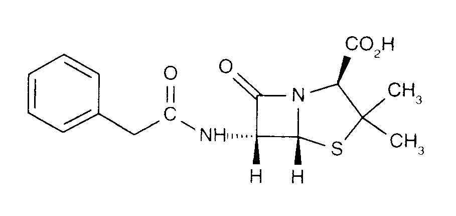
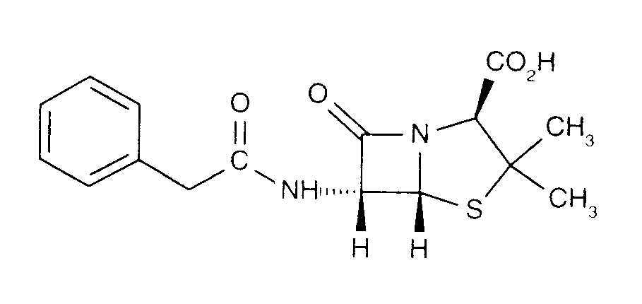
   Kemična formula  

Lastniško ime   Lastniško ime     

Sestava pomožnih snovi je med paralelami lahko različna

Benapen Brazilija
Bencilpenicilina Čile, Ekvador, Peru
Benpen Avstralija, nova Zelandija
Bensylpenicillin Švedska
Benzapen Iran
Benzatec Južnoafriška republika
Benzatron Brazilija
Benzylpenicillin Danska, Egipt, Finska, Norveška, Švedska
Benzylpenicilline Tunizija
Biconcillina Ekvador
Crystapen Irska, Kanada, Velika Britanija
Declin Mehika
Fortepen Savdska Arabija
Geepenil Finska
Natrium penicillin G Nizozemska
Novopen Južnoafriška republika
Pebencil Venezuela
Penbendox Mehika
Penibiot Španija
Penicillin Norveška
Penicillina G sodica Argentina, Čile, Ekvador, Kolumbija, Portugalska
Penilevel Španija
Sodiopen Španija
Unicillina Španija
Kompatibilnost   Brizgalka   Kompatibilnost : Penicillin G sodium              
Ta zaslon prikazuje združljivost ali nezdružljivost s, v tem primeru, vrsto nezdružljivosti (padavine, sprememba barve, sprememba emulzije itd.). Tu prikazane združljivosti so večinoma samo fizične, pri čemer se kemijska stabilnost vsake molekule redko ocenjuje. Vrednotenje teh zmesi so preučevali, da bi preučili možnost pacientovega dajanja na mestu Y. Teh podatkov ni mogoče uporabiti za pripravo mešanic v vrečkah ali brizgah. Ta vrsta informacij je na voljo na zaslonu "Obstojnost v mešanici".
Sestava Topilo Viri
Nedoločena nezdružljivost Nezdružljivo
Brizgalka Penicillin G sodium
Brizgalka Amphotericin B
3585
Nedoločena nezdružljivost Nezdružljivo
Brizgalka Penicillin G sodium
Brizgalka Bleomycin sulfate
4154
Združljivo
Brizgalka Penicillin G sodium 0.5 MUI/ml
Brizgalka Caffeine 10 mg/ml
Nobeden 3964
Nedoločena nezdružljivost Nezdružljivo
Brizgalka Penicillin G sodium
Brizgalka Cimetidine hydrochloride
3585
Nedoločena nezdružljivost Nezdružljivo
Brizgalka Penicillin G sodium
Brizgalka Ciprofloxacin lactate
3529
Združljivo
Brizgalka Penicillin G sodium 500 000 MUI/ml
Ringerjev laktat 4603
Združljivo
Brizgalka Penicillin G sodium
Glukoza 5% 3648
Združljivo
Brizgalka Penicillin G sodium
Natrijev klorid 0,9% 3648
Združljivo
Brizgalka Penicillin G sodium
Natrijev klorid 0,9% 3585
Kemijska nestabilnost Nezdružljivo
Brizgalka Penicillin G sodium
Brizgalka Amikacin sulfate
3549
Združljivo
Brizgalka Penicillin G sodium 0.17 MUI/ml
Brizgalka Caffeine 10 mg/ml
Voda za injekcije 4837
Združljivo
Brizgalka Penicillin G sodium 0.17 MUI/ml
Brizgalka Caffeine citrate 20 mg/ml
Voda za injekcije 4837
Združljivo
Brizgalka Penicillin G sodium 0.5 MUI/ml
Brizgalka Cloxacillin sodium 100 mg/ml
Voda za injekcije 3012
Nedoločena nezdružljivost Nezdružljivo
Brizgalka Penicillin G sodium
Brizgalka Cytarabine
3580
Nedoločena nezdružljivost Nezdružljivo
Brizgalka Penicillin G sodium
Brizgalka Cytarabine
3585
Združljivo
Brizgalka Penicillin G sodium 0,5 MUI/ml
Brizgalka Dexmedetomidine 100 µg/ml
4389
Združljivo
Brizgalka Penicillin G sodium
Brizgalka Dimenhydrinate
2087
Nedoločena nezdružljivost Nezdružljivo
Brizgalka Penicillin G sodium
Brizgalka Erythromycin lactobionate
3674
Nedoločena nezdružljivost Nezdružljivo
Brizgalka Penicillin G sodium
Brizgalka Flucloxacillin sodium
3585
Nedoločena nezdružljivost Nezdružljivo
Brizgalka Penicillin G sodium
Brizgalka Gentamicin sulfate
3643
Nedoločena nezdružljivost Nezdružljivo
Brizgalka Penicillin G sodium
Brizgalka Gentamicin sulfate
3520
Nedoločena nezdružljivost Nezdružljivo
Brizgalka Penicillin G sodium
Brizgalka Heparin sodium
3540
Nedoločena nezdružljivost Nezdružljivo
Brizgalka Penicillin G sodium
Brizgalka Hydroxyzine dihydrochloride
3585
Združljivo
Brizgalka Penicillin G sodium 0.5 MUI/ml
Brizgalka Levofloxacine 5 mg/ml
Glukoza 5% 1072
Združljivo
Brizgalka Penicillin G sodium 0.5 MUI/ml
Brizgalka Meropenem 50 mg/ml
Voda za injekcije 4319
Nedoločena nezdružljivost Nezdružljivo
Brizgalka Penicillin G sodium
Brizgalka Metaraminol
5046
Nedoločena nezdružljivost Nezdružljivo
Brizgalka Penicillin G sodium
Brizgalka Methylprednisolone sodium succinate
3585
Takoj padavine Nezdružljivo
Brizgalka Penicillin G sodium 0.17 MUI/ml
Brizgalka Morphine hydrochloride 0,2 mg/ml
Natrijev klorid 0,9% 4831
Združljivo
Brizgalka Penicillin G sodium 0,025 MUI/ml
Brizgalka Oxytocin 0,02 UI/ml
Glukoza 5% 1725
Združljivo
Brizgalka Penicillin G sodium 0,05 MUI/ml
Brizgalka Oxytocin 0,02 UI/ml
Glukoza 5% 1725
Združljivo
Brizgalka Penicillin G sodium 0,05 MUI/ml
Brizgalka Oxytocin 0,02 UI/ml
Natrijev klorid 0,9% 1725
Združljivo
Brizgalka Penicillin G sodium 0,025 MUI/ml
Brizgalka Oxytocin 0,02 UI/ml
Natrijev klorid 0,9% 1725
Združljivo
Brizgalka Penicillin G sodium
Brizgalka Pantoprazole sodium
2090
Nedoločena nezdružljivost Nezdružljivo
Brizgalka Penicillin G sodium
Brizgalka Promethazine hydrochloride
3585
Združljivo
Brizgalka Penicillin G sodium 100 MUI/ml
Brizgalka Sildenafil citrate 0,6 mg/ml
Glukoza 5% 4845
Združljivo
Brizgalka Penicillin G sodium
Brizgalka Sildenafil citrate 0,6 mg/ml
Glukoza 5% 4845
Takoj padavine Nezdružljivo
Brizgalka Penicillin G sodium
Brizgalka Trimebutine
3931
Združljivo
Brizgalka Penicillin G sodium 0.01 MUI/ml
Brizgalka Verapamil hydrochloride 0.08 mg/ml
Natrijev klorid 0,9% 1057
Združljivo
Brizgalka Penicillin G sodium 0.01 MUI/ml
Brizgalka Verapamil hydrochloride 0.08 mg/ml
Glukoza 5% 1057
Združljivo
Brizgalka Penicillin G sodium 0,05 MUI/ml
Brizgalka Zidovudine 4 mg/ml
Natrijev klorid 0,9% 1725
Združljivo
Brizgalka Penicillin G sodium 0,025 MUI/ml
Brizgalka Zidovudine 4 mg/ml
Glukoza 5% 1725
Združljivo
Brizgalka Penicillin G sodium 0,025 MUI/ml
Brizgalka Zidovudine 4 mg/ml
Natrijev klorid 0,9% 1725
Združljivo
Brizgalka Penicillin G sodium 0,05 MUI/ml
Brizgalka Zidovudine 4 mg/ml
Glukoza 5% 1725

  Mentions Légales