Seneste opdatering :
31/03/2026
Antibiotisk   Penicillin G sodium  
Injektion
Stabilitet i (vandige) opløsninger Stabilitet i blandinger Faktorer der påvirker stabiliteten Kompatibilitet Administrationsvej Bibliografi pdf
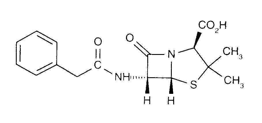
   Kemisk struktur  

Handelsnavn   Handelsnavn     

Handel navne er vejledende og hjælpestoffer sammensætning kan være forskellig afhængigt af landet og laboratorier

Benapen Brasilien
Bencilpenicilina Chile, Ecuador, Marokko
Benpen Australien, New Zealand
Bensylpenicillin Sverige
Benzapen Iran
Benzatec Sydafrika
Benzatron Brasilien
Benzylpenicillin Danmark, Finland, Norge, Sverige, Ægypten
Benzylpenicilline Tunesien
Biconcillina Ecuador
Crystapen Canada, Irland, Storbritanien
Declin Mexico
Fortepen Saudi-Arabien
Geepenil Finland
Natrium penicillin G Holland
Novopen Sydafrika
Pebencil Venezuela
Penbendox Mexico
Penibiot Spanien
Penicillin Norge
Penicillina G sodica Argentina, Chile, Colombia, Ecuador, Portugal
Penilevel Spanien
Sodiopen Spanien
Unicillina Spanien
Kompatibilitet   Injektion   Kompatibilitet : Penicillin G sodium              
Denne skærm viser kompatibilitet eller uforenelighed med, i dette tilfælde typen af inkompatibilitet (udfældning, farveændring, ændring af en emulsion osv.). Kompatibiliteterne vist her er for det meste kun fysiske, idet den kemiske stabilitet af hvert molekyle sjældent vurderes. Evalueringen af disse blandinger blev undersøgt for at overveje muligheden for Y-sted-administration til patienten. Disse data kan ikke bruges til at fremstille blandinger på forhånd i poser eller sprøjter. Denne type information findes på skærmen "Stabilitet i blanding".
Molekyle Opløsningsmiddel Bibliografi
Uspecificeret inkompatibilitet Uforenelig
Injektion Penicillin G sodium
Injektion Amphotericin B
3585
Uspecificeret inkompatibilitet Uforenelig
Injektion Penicillin G sodium
Injektion Bleomycin sulfate
4154
Kompatibel
Injektion Penicillin G sodium 0.5 MUI/ml
Injektion Caffeine 10 mg/ml
Ingen 3964
Uspecificeret inkompatibilitet Uforenelig
Injektion Penicillin G sodium
Injektion Cimetidine hydrochloride
3585
Uspecificeret inkompatibilitet Uforenelig
Injektion Penicillin G sodium
Injektion Ciprofloxacin lactate
3529
Kompatibel
Injektion Penicillin G sodium 500 000 MUI/ml
Ringer laktat 4603
Kompatibel
Injektion Penicillin G sodium
5 % Glukose 3648
Kompatibel
Injektion Penicillin G sodium
0,9 % Natriumklorid 3648
Kompatibel
Injektion Penicillin G sodium
0,9 % Natriumklorid 3585
Kemisk ustabilitet Uforenelig
Injektion Penicillin G sodium
Injektion Amikacin sulfate
3549
Kompatibel
Injektion Penicillin G sodium 0.17 MUI/ml
Injektion Caffeine 10 mg/ml
Vand til injektion 4837
Kompatibel
Injektion Penicillin G sodium 0.17 MUI/ml
Injektion Caffeine citrate 20 mg/ml
Vand til injektion 4837
Kompatibel
Injektion Penicillin G sodium 0.5 MUI/ml
Injektion Cloxacillin sodium 100 mg/ml
Vand til injektion 3012
Uspecificeret inkompatibilitet Uforenelig
Injektion Penicillin G sodium
Injektion Cytarabine
3580
Uspecificeret inkompatibilitet Uforenelig
Injektion Penicillin G sodium
Injektion Cytarabine
3585
Kompatibel
Injektion Penicillin G sodium 0,5 MUI/ml
Injektion Dexmedetomidine 100 µg/ml
4389
Kompatibel
Injektion Penicillin G sodium
Injektion Dimenhydrinate
2087
Uspecificeret inkompatibilitet Uforenelig
Injektion Penicillin G sodium
Injektion Erythromycin lactobionate
3674
Uspecificeret inkompatibilitet Uforenelig
Injektion Penicillin G sodium
Injektion Flucloxacillin sodium
3585
Uspecificeret inkompatibilitet Uforenelig
Injektion Penicillin G sodium
Injektion Gentamicin sulfate
3643
Uspecificeret inkompatibilitet Uforenelig
Injektion Penicillin G sodium
Injektion Gentamicin sulfate
3520
Uspecificeret inkompatibilitet Uforenelig
Injektion Penicillin G sodium
Injektion Heparin sodium
3540
Uspecificeret inkompatibilitet Uforenelig
Injektion Penicillin G sodium
Injektion Hydroxyzine dihydrochloride
3585
Kompatibel
Injektion Penicillin G sodium 0.5 MUI/ml
Injektion Levofloxacine 5 mg/ml
5 % Glukose 1072
Kompatibel
Injektion Penicillin G sodium 0.5 MUI/ml
Injektion Meropenem 50 mg/ml
Vand til injektion 4319
Uspecificeret inkompatibilitet Uforenelig
Injektion Penicillin G sodium
Injektion Metaraminol
5046
Uspecificeret inkompatibilitet Uforenelig
Injektion Penicillin G sodium
Injektion Methylprednisolone sodium succinate
3585
Umiddelbar nedbør Uforenelig
Injektion Penicillin G sodium 0.17 MUI/ml
Injektion Morphine hydrochloride 0,2 mg/ml
0,9 % Natriumklorid 4831
Kompatibel
Injektion Penicillin G sodium 0,025 MUI/ml
Injektion Oxytocin 0,02 UI/ml
5 % Glukose 1725
Kompatibel
Injektion Penicillin G sodium 0,05 MUI/ml
Injektion Oxytocin 0,02 UI/ml
5 % Glukose 1725
Kompatibel
Injektion Penicillin G sodium 0,05 MUI/ml
Injektion Oxytocin 0,02 UI/ml
0,9 % Natriumklorid 1725
Kompatibel
Injektion Penicillin G sodium 0,025 MUI/ml
Injektion Oxytocin 0,02 UI/ml
0,9 % Natriumklorid 1725
Kompatibel
Injektion Penicillin G sodium
Injektion Pantoprazole sodium
2090
Uspecificeret inkompatibilitet Uforenelig
Injektion Penicillin G sodium
Injektion Promethazine hydrochloride
3585
Kompatibel
Injektion Penicillin G sodium 100 MUI/ml
Injektion Sildenafil citrate 0,6 mg/ml
5 % Glukose 4845
Kompatibel
Injektion Penicillin G sodium
Injektion Sildenafil citrate 0,6 mg/ml
5 % Glukose 4845
Umiddelbar nedbør Uforenelig
Injektion Penicillin G sodium
Injektion Trimebutine
3931
Kompatibel
Injektion Penicillin G sodium 0.01 MUI/ml
Injektion Verapamil hydrochloride 0.08 mg/ml
0,9 % Natriumklorid 1057
Kompatibel
Injektion Penicillin G sodium 0.01 MUI/ml
Injektion Verapamil hydrochloride 0.08 mg/ml
5 % Glukose 1057
Kompatibel
Injektion Penicillin G sodium 0,05 MUI/ml
Injektion Zidovudine 4 mg/ml
0,9 % Natriumklorid 1725
Kompatibel
Injektion Penicillin G sodium 0,025 MUI/ml
Injektion Zidovudine 4 mg/ml
5 % Glukose 1725
Kompatibel
Injektion Penicillin G sodium 0,025 MUI/ml
Injektion Zidovudine 4 mg/ml
0,9 % Natriumklorid 1725
Kompatibel
Injektion Penicillin G sodium 0,05 MUI/ml
Injektion Zidovudine 4 mg/ml
5 % Glukose 1725

  Mentions Légales