Pēdējā atjaunošana :
31/03/2026
Antibiotika   Penicillin G sodium  
Injekcija
Šķīduma stabilitāte Maisījuma stabilitāte Stabilitāti ietekmējoši faktori Saderība Levadīšanas veids Literatūras saraksts pdf
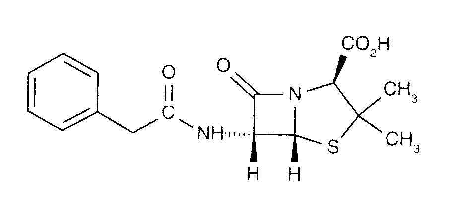
   Ķīmiskā uzbūve   

Oriģinālais nosaukums   Oriģinālais nosaukums     

Tirdzniecības nosaukumi ir apzīmējoši un palīgvielas var atšķirties dažādām valstīm un laboratorijām

Benapen Brazīlija
Bencilpenicilina Čīle, Ekvadora, Peru
Benpen Austrālija, Jaunzēlande
Bensylpenicillin Zviedrija
Benzapen Irāna
Benzatec Dienvidāfrikas Republika
Benzatron Brazīlija
Benzylpenicillin Dānija, Ēģipte, Norvēģija, Somija, Zviedrija
Benzylpenicilline Tunisija
Biconcillina Ekvadora
Crystapen Īrija, Kanāda, Lielbritānija
Declin Meksika
Fortepen Saūda Arābija
Geepenil Somija
Natrium penicillin G Holande
Novopen Dienvidāfrikas Republika
Pebencil Venecuēla
Penbendox Meksika
Penibiot Spānija
Penicillin Norvēģija
Penicillina G sodica Argentīna, Čīle, Ekvadora, Kolumbija, Portugāle
Penilevel Spānija
Sodiopen Spānija
Unicillina Spānija
Saderība   Injekcija   Saderība : Penicillin G sodium              
Šī tabula parāda zāļu saderību vai nesaderību, pēc iespējas arī nesaderības tipu (precipitācija, krāsas maiņa, emulsijas sadalīšanās utt). Parādītas šeit saderības ir pārsvarā tikai fizikālās, pēc iespējas tiek parādīta ķīmiskā stabilitāte katrai molekulai. Šo maisījumu analīze tikai veikta, lai izprastu iespējamību ievadīt zāles Y-savienojuma vietā sistēmā pacientam. Šie dati nevar tikt izmantoti, lai pagatavot zāļu maisījumus vēlākai lietošanai maisos vai šļircēs. Šī informācija ir pieejama sadaļā "Maisījuma stabilitāte".
Savienojums Šķīdinātājs Literatūras saraksts
Neprecizēta nesaderība Nesavienojams
Injekcija Penicillin G sodium
Injekcija Amphotericin B
3585
Neprecizēta nesaderība Nesavienojams
Injekcija Penicillin G sodium
Injekcija Bleomycin sulfate
4154
Savietojams
Injekcija Penicillin G sodium 0.5 MUI/ml
Injekcija Caffeine 10 mg/ml
Nekāds 3964
Neprecizēta nesaderība Nesavienojams
Injekcija Penicillin G sodium
Injekcija Cimetidine hydrochloride
3585
Neprecizēta nesaderība Nesavienojams
Injekcija Penicillin G sodium
Injekcija Ciprofloxacin lactate
3529
Savietojams
Injekcija Penicillin G sodium 500 000 MUI/ml
Ringera laktāta šķīdums 4603
Savietojams
Injekcija Penicillin G sodium
5% glikoze 3648
Savietojams
Injekcija Penicillin G sodium
Nātrija hlorīds 0.9% 3648
Savietojams
Injekcija Penicillin G sodium
Nātrija hlorīds 0.9% 3585
Ķīmiskā nestabilitāte Nesavienojams
Injekcija Penicillin G sodium
Injekcija Amikacin sulfate
3549
Savietojams
Injekcija Penicillin G sodium 0.17 MUI/ml
Injekcija Caffeine 10 mg/ml
Ūdens injekcijām 4837
Savietojams
Injekcija Penicillin G sodium 0.17 MUI/ml
Injekcija Caffeine citrate 20 mg/ml
Ūdens injekcijām 4837
Savietojams
Injekcija Penicillin G sodium 0.5 MUI/ml
Injekcija Cloxacillin sodium 100 mg/ml
Ūdens injekcijām 3012
Neprecizēta nesaderība Nesavienojams
Injekcija Penicillin G sodium
Injekcija Cytarabine
3580
Neprecizēta nesaderība Nesavienojams
Injekcija Penicillin G sodium
Injekcija Cytarabine
3585
Savietojams
Injekcija Penicillin G sodium 0,5 MUI/ml
Injekcija Dexmedetomidine 100 µg/ml
4389
Savietojams
Injekcija Penicillin G sodium
Injekcija Dimenhydrinate
2087
Neprecizēta nesaderība Nesavienojams
Injekcija Penicillin G sodium
Injekcija Erythromycin lactobionate
3674
Neprecizēta nesaderība Nesavienojams
Injekcija Penicillin G sodium
Injekcija Flucloxacillin sodium
3585
Neprecizēta nesaderība Nesavienojams
Injekcija Penicillin G sodium
Injekcija Gentamicin sulfate
3643
Neprecizēta nesaderība Nesavienojams
Injekcija Penicillin G sodium
Injekcija Gentamicin sulfate
3520
Neprecizēta nesaderība Nesavienojams
Injekcija Penicillin G sodium
Injekcija Heparin sodium
3540
Neprecizēta nesaderība Nesavienojams
Injekcija Penicillin G sodium
Injekcija Hydroxyzine dihydrochloride
3585
Savietojams
Injekcija Penicillin G sodium 0.5 MUI/ml
Injekcija Levofloxacine 5 mg/ml
5% glikoze 1072
Savietojams
Injekcija Penicillin G sodium 0.5 MUI/ml
Injekcija Meropenem 50 mg/ml
Ūdens injekcijām 4319
Neprecizēta nesaderība Nesavienojams
Injekcija Penicillin G sodium
Injekcija Metaraminol
5046
Neprecizēta nesaderība Nesavienojams
Injekcija Penicillin G sodium
Injekcija Methylprednisolone sodium succinate
3585
Tūlītēji nokrišņi Nesavienojams
Injekcija Penicillin G sodium 0.17 MUI/ml
Injekcija Morphine hydrochloride 0,2 mg/ml
Nātrija hlorīds 0.9% 4831
Savietojams
Injekcija Penicillin G sodium 0,025 MUI/ml
Injekcija Oxytocin 0,02 UI/ml
5% glikoze 1725
Savietojams
Injekcija Penicillin G sodium 0,05 MUI/ml
Injekcija Oxytocin 0,02 UI/ml
5% glikoze 1725
Savietojams
Injekcija Penicillin G sodium 0,05 MUI/ml
Injekcija Oxytocin 0,02 UI/ml
Nātrija hlorīds 0.9% 1725
Savietojams
Injekcija Penicillin G sodium 0,025 MUI/ml
Injekcija Oxytocin 0,02 UI/ml
Nātrija hlorīds 0.9% 1725
Savietojams
Injekcija Penicillin G sodium
Injekcija Pantoprazole sodium
2090
Neprecizēta nesaderība Nesavienojams
Injekcija Penicillin G sodium
Injekcija Promethazine hydrochloride
3585
Savietojams
Injekcija Penicillin G sodium 100 MUI/ml
Injekcija Sildenafil citrate 0,6 mg/ml
5% glikoze 4845
Savietojams
Injekcija Penicillin G sodium
Injekcija Sildenafil citrate 0,6 mg/ml
5% glikoze 4845
Tūlītēji nokrišņi Nesavienojams
Injekcija Penicillin G sodium
Injekcija Trimebutine
3931
Savietojams
Injekcija Penicillin G sodium 0.01 MUI/ml
Injekcija Verapamil hydrochloride 0.08 mg/ml
Nātrija hlorīds 0.9% 1057
Savietojams
Injekcija Penicillin G sodium 0.01 MUI/ml
Injekcija Verapamil hydrochloride 0.08 mg/ml
5% glikoze 1057
Savietojams
Injekcija Penicillin G sodium 0,05 MUI/ml
Injekcija Zidovudine 4 mg/ml
Nātrija hlorīds 0.9% 1725
Savietojams
Injekcija Penicillin G sodium 0,025 MUI/ml
Injekcija Zidovudine 4 mg/ml
5% glikoze 1725
Savietojams
Injekcija Penicillin G sodium 0,025 MUI/ml
Injekcija Zidovudine 4 mg/ml
Nātrija hlorīds 0.9% 1725
Savietojams
Injekcija Penicillin G sodium 0,05 MUI/ml
Injekcija Zidovudine 4 mg/ml
5% glikoze 1725

  Mentions Légales