Poslední aktualizace :
31/03/2026
Antibiotikum   Penicillin G sodium  
injekce
Stabilita roztoků Stabilita směsí Faktory ovlivňující stabilitu Kompatibilita Způsoby aplikace Odkazy pdf
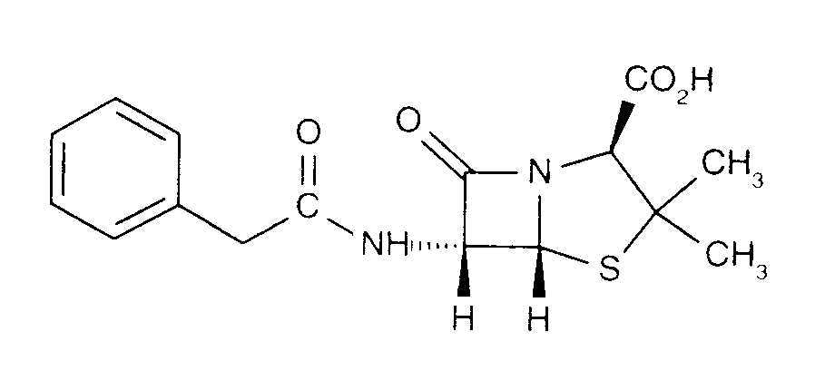
   Chemický vzorec  

Obchodní název   Obchodní název     

Trade names are indicative and excipients composition can be different depending on the country and manufacturers

Benapen BrazÌlie
Bencilpenicilina Chile, Ekvádor, Peru
Benpen Austrálie, nový Zéland
Bensylpenicillin Švédsko
Benzapen Írán
Benzatec Jihoafrická republika
Benzatron BrazÌlie
Benzylpenicillin Dánsko, Egypt, Finsko, Norsko, Švédsko
Benzylpenicilline Tunisko
Biconcillina Ekvádor
Crystapen Irsko, Kanada, Velká Británie
Declin Mexiko
Fortepen Saúdská Arábie
Geepenil Finsko
Natrium penicillin G Nizozemsko
Novopen Jihoafrická republika
Pebencil Venezuela
Penbendox Mexiko
Penibiot äpanÏlsko
Penicillin Norsko
Penicillina G sodica Argentina, Chile, Ekvádor, Kolumbie, Portugalsko
Penilevel äpanÏlsko
Sodiopen äpanÏlsko
Unicillina äpanÏlsko
Kompatibilita   injekce   Kompatibilita : Penicillin G sodium              
Tato obrazovka ukazuje kompatibilitu nebo nekompatibilitu s, v tomto případě, typem nekompatibility (srážení, změna barvy, modifikace emulze atd.). Zde uvedené kompatibility jsou většinou pouze fyzikální, přičemž chemická stabilita každé molekuly je zřídka hodnocena. Hodnocení těchto směsí bylo studováno, aby se zvážila možnost podání Y-místa pacientovi. Tyto údaje nelze použít k přípravě směsí předem v pytlích nebo stříkačkách. Tento typ informací je k dispozici na obrazovce „Stabilita ve směsi“.
SlouËenina RozpouötÏdlo Odkazy
Nespecifikovaná nekompatibilita Nekompatibilní
injekce Penicillin G sodium
injekce Amphotericin B
3585
Nespecifikovaná nekompatibilita Nekompatibilní
injekce Penicillin G sodium
injekce Bleomycin sulfate
4154
Kompatibilní
injekce Penicillin G sodium 0.5 MUI/ml
injekce Caffeine 10 mg/ml
Žádné 3964
Nespecifikovaná nekompatibilita Nekompatibilní
injekce Penicillin G sodium
injekce Cimetidine hydrochloride
3585
Nespecifikovaná nekompatibilita Nekompatibilní
injekce Penicillin G sodium
injekce Ciprofloxacin lactate
3529
Kompatibilní
injekce Penicillin G sodium 500 000 MUI/ml
RingerŐs laktátový roztok 4603
Kompatibilní
injekce Penicillin G sodium
GlukÛza 5% 3648
Kompatibilní
injekce Penicillin G sodium
Chlorid sodný 0,9% 3648
Kompatibilní
injekce Penicillin G sodium
Chlorid sodný 0,9% 3585
Chemická nestabilita Nekompatibilní
injekce Penicillin G sodium
injekce Amikacin sulfate
3549
Kompatibilní
injekce Penicillin G sodium 0.17 MUI/ml
injekce Caffeine 10 mg/ml
Voda pro injekci 4837
Kompatibilní
injekce Penicillin G sodium 0.17 MUI/ml
injekce Caffeine citrate 20 mg/ml
Voda pro injekci 4837
Kompatibilní
injekce Penicillin G sodium 0.5 MUI/ml
injekce Cloxacillin sodium 100 mg/ml
Voda pro injekci 3012
Nespecifikovaná nekompatibilita Nekompatibilní
injekce Penicillin G sodium
injekce Cytarabine
3580
Nespecifikovaná nekompatibilita Nekompatibilní
injekce Penicillin G sodium
injekce Cytarabine
3585
Kompatibilní
injekce Penicillin G sodium 0,5 MUI/ml
injekce Dexmedetomidine 100 µg/ml
4389
Kompatibilní
injekce Penicillin G sodium
injekce Dimenhydrinate
2087
Nespecifikovaná nekompatibilita Nekompatibilní
injekce Penicillin G sodium
injekce Erythromycin lactobionate
3674
Nespecifikovaná nekompatibilita Nekompatibilní
injekce Penicillin G sodium
injekce Flucloxacillin sodium
3585
Nespecifikovaná nekompatibilita Nekompatibilní
injekce Penicillin G sodium
injekce Gentamicin sulfate
3643
Nespecifikovaná nekompatibilita Nekompatibilní
injekce Penicillin G sodium
injekce Gentamicin sulfate
3520
Nespecifikovaná nekompatibilita Nekompatibilní
injekce Penicillin G sodium
injekce Heparin sodium
3540
Nespecifikovaná nekompatibilita Nekompatibilní
injekce Penicillin G sodium
injekce Hydroxyzine dihydrochloride
3585
Kompatibilní
injekce Penicillin G sodium 0.5 MUI/ml
injekce Levofloxacine 5 mg/ml
GlukÛza 5% 1072
Kompatibilní
injekce Penicillin G sodium 0.5 MUI/ml
injekce Meropenem 50 mg/ml
Voda pro injekci 4319
Nespecifikovaná nekompatibilita Nekompatibilní
injekce Penicillin G sodium
injekce Metaraminol
5046
Nespecifikovaná nekompatibilita Nekompatibilní
injekce Penicillin G sodium
injekce Methylprednisolone sodium succinate
3585
Okamžité srážení Nekompatibilní
injekce Penicillin G sodium 0.17 MUI/ml
injekce Morphine hydrochloride 0,2 mg/ml
Chlorid sodný 0,9% 4831
Kompatibilní
injekce Penicillin G sodium 0,025 MUI/ml
injekce Oxytocin 0,02 UI/ml
GlukÛza 5% 1725
Kompatibilní
injekce Penicillin G sodium 0,05 MUI/ml
injekce Oxytocin 0,02 UI/ml
GlukÛza 5% 1725
Kompatibilní
injekce Penicillin G sodium 0,05 MUI/ml
injekce Oxytocin 0,02 UI/ml
Chlorid sodný 0,9% 1725
Kompatibilní
injekce Penicillin G sodium 0,025 MUI/ml
injekce Oxytocin 0,02 UI/ml
Chlorid sodný 0,9% 1725
Kompatibilní
injekce Penicillin G sodium
injekce Pantoprazole sodium
2090
Nespecifikovaná nekompatibilita Nekompatibilní
injekce Penicillin G sodium
injekce Promethazine hydrochloride
3585
Kompatibilní
injekce Penicillin G sodium 100 MUI/ml
injekce Sildenafil citrate 0,6 mg/ml
GlukÛza 5% 4845
Kompatibilní
injekce Penicillin G sodium
injekce Sildenafil citrate 0,6 mg/ml
GlukÛza 5% 4845
Okamžité srážení Nekompatibilní
injekce Penicillin G sodium
injekce Trimebutine
3931
Kompatibilní
injekce Penicillin G sodium 0.01 MUI/ml
injekce Verapamil hydrochloride 0.08 mg/ml
Chlorid sodný 0,9% 1057
Kompatibilní
injekce Penicillin G sodium 0.01 MUI/ml
injekce Verapamil hydrochloride 0.08 mg/ml
GlukÛza 5% 1057
Kompatibilní
injekce Penicillin G sodium 0,05 MUI/ml
injekce Zidovudine 4 mg/ml
Chlorid sodný 0,9% 1725
Kompatibilní
injekce Penicillin G sodium 0,025 MUI/ml
injekce Zidovudine 4 mg/ml
GlukÛza 5% 1725
Kompatibilní
injekce Penicillin G sodium 0,025 MUI/ml
injekce Zidovudine 4 mg/ml
Chlorid sodný 0,9% 1725
Kompatibilní
injekce Penicillin G sodium 0,05 MUI/ml
injekce Zidovudine 4 mg/ml
GlukÛza 5% 1725

  Mentions Légales