Ostatnia aktualizacja :
31/03/2026
Antybiotyk   Penicillin G sodium  
Injekcje
Trwałość roztworów Trwałość w mieszaninie Czynnik wpływający na trwałość Zgodność Sposób podania Bibliografia pdf
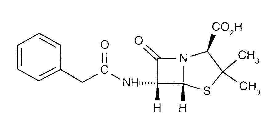
   Struktura chemiczna  

Nazwa handlowa   Nazwa handlowa     

Trade names are indicative and excipients composition can be different depending on the country and manufacturers

Benapen Brazylia
Bencilpenicilina Chile, Ekwador, Peru
Benpen Australia, nowa Zelandia
Bensylpenicillin Szwecja
Benzapen Iran
Benzatec Afryka Południowa
Benzatron Brazylia
Benzylpenicillin Dania, Egipt, Finlandia, Norwegia, Szwecja
Benzylpenicilline Tunisie
Biconcillina Ekwador
Crystapen Irlandia, Kanada, Wielka Brytania
Declin Meksyk
Fortepen Arabia Saudyjska
Geepenil Finlandia
Natrium penicillin G Holandia
Novopen Afryka Południowa
Pebencil Wenezuela
Penbendox Meksyk
Penibiot Hiszpania
Penicillin Norwegia
Penicillina G sodica Argentyna, Chile, Ekwador, KolumbiaKolumbia, Portugalia
Penilevel Hiszpania
Sodiopen Hiszpania
Unicillina Hiszpania
Zgodność   Injekcje   Zgodność : Penicillin G sodium              
Ekran ten wskazuje na kompatybilności lub niezgodności z, w tym przypadku, rodzajem niezgodności (strącanie, zmiana koloru, modyfikacja emulsji, itp.). Przedstawione tutaj kompatybilności są głównie fizyczne, a stabilność chemiczna każdej cząsteczki jest rzadko oceniana. Ocenę tych mieszanin badano w celu rozważenia możliwości podania pacjentowi w miejscu Y. Dane te nie mogą być wykorzystywane do sporządzania mieszanin z wyprzedzeniem w workach lub strzykawkach. Tego typu informacje są dostępne na ekranie „Stabilność w mieszaninie”.
Związek Rozpuszczalnik Bibliografia
Nieokreślona niezgodność Niekompatybilny
Injekcje Penicillin G sodium
Injekcje Amphotericin B
3585
Nieokreślona niezgodność Niekompatybilny
Injekcje Penicillin G sodium
Injekcje Bleomycin sulfate
4154
Zgodny
Injekcje Penicillin G sodium 0.5 MUI/ml
Injekcje Caffeine 10 mg/ml
Żaden 3964
Nieokreślona niezgodność Niekompatybilny
Injekcje Penicillin G sodium
Injekcje Cimetidine hydrochloride
3585
Nieokreślona niezgodność Niekompatybilny
Injekcje Penicillin G sodium
Injekcje Ciprofloxacin lactate
3529
Zgodny
Injekcje Penicillin G sodium 500 000 MUI/ml
Roztwór Ringera z mleczanem sodowym 4603
Zgodny
Injekcje Penicillin G sodium
Glukoza 5% 3648
Zgodny
Injekcje Penicillin G sodium
Chlorek sodu 0,9% 3648
Zgodny
Injekcje Penicillin G sodium
Chlorek sodu 0,9% 3585
Niestabilność chemiczna Niekompatybilny
Injekcje Penicillin G sodium
Injekcje Amikacin sulfate
3549
Zgodny
Injekcje Penicillin G sodium 0.17 MUI/ml
Injekcje Caffeine 10 mg/ml
Woda do wstrzyknięć 4837
Zgodny
Injekcje Penicillin G sodium 0.17 MUI/ml
Injekcje Caffeine citrate 20 mg/ml
Woda do wstrzyknięć 4837
Zgodny
Injekcje Penicillin G sodium 0.5 MUI/ml
Injekcje Cloxacillin sodium 100 mg/ml
Woda do wstrzyknięć 3012
Nieokreślona niezgodność Niekompatybilny
Injekcje Penicillin G sodium
Injekcje Cytarabine
3580
Nieokreślona niezgodność Niekompatybilny
Injekcje Penicillin G sodium
Injekcje Cytarabine
3585
Zgodny
Injekcje Penicillin G sodium 0,5 MUI/ml
Injekcje Dexmedetomidine 100 µg/ml
4389
Zgodny
Injekcje Penicillin G sodium
Injekcje Dimenhydrinate
2087
Nieokreślona niezgodność Niekompatybilny
Injekcje Penicillin G sodium
Injekcje Erythromycin lactobionate
3674
Nieokreślona niezgodność Niekompatybilny
Injekcje Penicillin G sodium
Injekcje Flucloxacillin sodium
3585
Nieokreślona niezgodność Niekompatybilny
Injekcje Penicillin G sodium
Injekcje Gentamicin sulfate
3643
Nieokreślona niezgodność Niekompatybilny
Injekcje Penicillin G sodium
Injekcje Gentamicin sulfate
3520
Nieokreślona niezgodność Niekompatybilny
Injekcje Penicillin G sodium
Injekcje Heparin sodium
3540
Nieokreślona niezgodność Niekompatybilny
Injekcje Penicillin G sodium
Injekcje Hydroxyzine dihydrochloride
3585
Zgodny
Injekcje Penicillin G sodium 0.5 MUI/ml
Injekcje Levofloxacine 5 mg/ml
Glukoza 5% 1072
Zgodny
Injekcje Penicillin G sodium 0.5 MUI/ml
Injekcje Meropenem 50 mg/ml
Woda do wstrzyknięć 4319
Nieokreślona niezgodność Niekompatybilny
Injekcje Penicillin G sodium
Injekcje Metaraminol
5046
Nieokreślona niezgodność Niekompatybilny
Injekcje Penicillin G sodium
Injekcje Methylprednisolone sodium succinate
3585
Natychmiastowe opady Niekompatybilny
Injekcje Penicillin G sodium 0.17 MUI/ml
Injekcje Morphine hydrochloride 0,2 mg/ml
Chlorek sodu 0,9% 4831
Zgodny
Injekcje Penicillin G sodium 0,025 MUI/ml
Injekcje Oxytocin 0,02 UI/ml
Glukoza 5% 1725
Zgodny
Injekcje Penicillin G sodium 0,05 MUI/ml
Injekcje Oxytocin 0,02 UI/ml
Glukoza 5% 1725
Zgodny
Injekcje Penicillin G sodium 0,05 MUI/ml
Injekcje Oxytocin 0,02 UI/ml
Chlorek sodu 0,9% 1725
Zgodny
Injekcje Penicillin G sodium 0,025 MUI/ml
Injekcje Oxytocin 0,02 UI/ml
Chlorek sodu 0,9% 1725
Zgodny
Injekcje Penicillin G sodium
Injekcje Pantoprazole sodium
2090
Nieokreślona niezgodność Niekompatybilny
Injekcje Penicillin G sodium
Injekcje Promethazine hydrochloride
3585
Zgodny
Injekcje Penicillin G sodium 100 MUI/ml
Injekcje Sildenafil citrate 0,6 mg/ml
Glukoza 5% 4845
Zgodny
Injekcje Penicillin G sodium
Injekcje Sildenafil citrate 0,6 mg/ml
Glukoza 5% 4845
Natychmiastowe opady Niekompatybilny
Injekcje Penicillin G sodium
Injekcje Trimebutine
3931
Zgodny
Injekcje Penicillin G sodium 0.01 MUI/ml
Injekcje Verapamil hydrochloride 0.08 mg/ml
Chlorek sodu 0,9% 1057
Zgodny
Injekcje Penicillin G sodium 0.01 MUI/ml
Injekcje Verapamil hydrochloride 0.08 mg/ml
Glukoza 5% 1057
Zgodny
Injekcje Penicillin G sodium 0,05 MUI/ml
Injekcje Zidovudine 4 mg/ml
Chlorek sodu 0,9% 1725
Zgodny
Injekcje Penicillin G sodium 0,025 MUI/ml
Injekcje Zidovudine 4 mg/ml
Glukoza 5% 1725
Zgodny
Injekcje Penicillin G sodium 0,025 MUI/ml
Injekcje Zidovudine 4 mg/ml
Chlorek sodu 0,9% 1725
Zgodny
Injekcje Penicillin G sodium 0,05 MUI/ml
Injekcje Zidovudine 4 mg/ml
Glukoza 5% 1725

  Mentions Légales