Laatste update :
31/03/2026
Antibioticum   Penicillin G sodium  
injecteerbaar geneesmiddel
Stabiliteit in oplossing Stabiliteit in mengsels Factoren die de stabiliteit beïnvloeden Verenigbaarheden Toedieningswijze Literatuur pdf
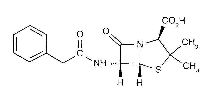
   Molecuulstructuur  

Merknamen in verschillende landen   Merknamen in verschillende landen     

Handelsnamen zijn slechts een indicatie; de samenstelling van hulpstoffen kan per land variëren afhankelijk van de fabrikant

Benapen Brazilië
Bencilpenicilina Chili, Ecuador, Peru
Benpen Australië, nieuw Zeeland
Bensylpenicillin Zweden
Benzapen Iran
Benzatec Zuid-Afrika
Benzatron Brazilië
Benzylpenicillin Denemarken, Egypte, Finland, Noorwegen, Zweden
Benzylpenicilline Tunisie
Biconcillina Ecuador
Crystapen Canada, Groot Britannië, Ierland
Declin Mexico
Fortepen Saudi-Arabië
Geepenil Finland
Natrium penicillin G Nederland
Novopen Zuid-Afrika
Pebencil Venezuela
Penbendox Mexico
Penibiot Spanje
Penicillin Noorwegen
Penicillina G sodica Argentinië, Chili, Colombia, Ecuador, Portugal
Penilevel Spanje
Sodiopen Spanje
Unicillina Spanje
Verenigbaarheden   injecteerbaar geneesmiddel   Verenigbaarheden : Penicillin G sodium              
In dit scherm worden de verenigbaarheden en onverenigbaarheden weergegeven. In het geval van een onverenigbaarheid wordt ook het type (neerslag, kleurverandering, modificatie van een emulsie, etc) weergegeven. De weergegeven verenigbaarheden zijn meestal alleen op uiterlijk beoordeeld, er heeft zelden een chemische beoordeling van iedere component plaatsgevonden. De verenigbaarheden betreffen gelijktijdige toediening aan de patient middels de Y-site. De data kan niet gebruikt worden in de beoordeling van verenigbaarheden van componenten in infuuszakken of spuiten. Die informatie is te vinden onder ‘stabiliteit in mengsels’.
Stof Oplosmiddel Literatuur
Niet-gespecificeerde incompatibiliteit Onverenigbaar
injecteerbaar geneesmiddel Penicillin G sodium
injecteerbaar geneesmiddel Amphotericin B
3585
Niet-gespecificeerde incompatibiliteit Onverenigbaar
injecteerbaar geneesmiddel Penicillin G sodium
injecteerbaar geneesmiddel Bleomycin sulfate
4154
Verenigbaar
injecteerbaar geneesmiddel Penicillin G sodium 0.5 MUI/ml
injecteerbaar geneesmiddel Caffeine 10 mg/ml
Geen 3964
Niet-gespecificeerde incompatibiliteit Onverenigbaar
injecteerbaar geneesmiddel Penicillin G sodium
injecteerbaar geneesmiddel Cimetidine hydrochloride
3585
Niet-gespecificeerde incompatibiliteit Onverenigbaar
injecteerbaar geneesmiddel Penicillin G sodium
injecteerbaar geneesmiddel Ciprofloxacin lactate
3529
Verenigbaar
injecteerbaar geneesmiddel Penicillin G sodium 500 000 MUI/ml
Ringer-lactaat 4603
Verenigbaar
injecteerbaar geneesmiddel Penicillin G sodium
Glucose 5% 3648
Verenigbaar
injecteerbaar geneesmiddel Penicillin G sodium
Natriumchloride 0,9% 3648
Verenigbaar
injecteerbaar geneesmiddel Penicillin G sodium
Natriumchloride 0,9% 3585
Chemische instabiliteit Onverenigbaar
injecteerbaar geneesmiddel Penicillin G sodium
injecteerbaar geneesmiddel Amikacin sulfate
3549
Verenigbaar
injecteerbaar geneesmiddel Penicillin G sodium 0.17 MUI/ml
injecteerbaar geneesmiddel Caffeine 10 mg/ml
Water voor injectie 4837
Verenigbaar
injecteerbaar geneesmiddel Penicillin G sodium 0.17 MUI/ml
injecteerbaar geneesmiddel Caffeine citrate 20 mg/ml
Water voor injectie 4837
Verenigbaar
injecteerbaar geneesmiddel Penicillin G sodium 0.5 MUI/ml
injecteerbaar geneesmiddel Cloxacillin sodium 100 mg/ml
Water voor injectie 3012
Niet-gespecificeerde incompatibiliteit Onverenigbaar
injecteerbaar geneesmiddel Penicillin G sodium
injecteerbaar geneesmiddel Cytarabine
3580
Niet-gespecificeerde incompatibiliteit Onverenigbaar
injecteerbaar geneesmiddel Penicillin G sodium
injecteerbaar geneesmiddel Cytarabine
3585
Verenigbaar
injecteerbaar geneesmiddel Penicillin G sodium 0,5 MUI/ml
injecteerbaar geneesmiddel Dexmedetomidine 100 µg/ml
4389
Verenigbaar
injecteerbaar geneesmiddel Penicillin G sodium
injecteerbaar geneesmiddel Dimenhydrinate
2087
Niet-gespecificeerde incompatibiliteit Onverenigbaar
injecteerbaar geneesmiddel Penicillin G sodium
injecteerbaar geneesmiddel Erythromycin lactobionate
3674
Niet-gespecificeerde incompatibiliteit Onverenigbaar
injecteerbaar geneesmiddel Penicillin G sodium
injecteerbaar geneesmiddel Flucloxacillin sodium
3585
Niet-gespecificeerde incompatibiliteit Onverenigbaar
injecteerbaar geneesmiddel Penicillin G sodium
injecteerbaar geneesmiddel Gentamicin sulfate
3643
Niet-gespecificeerde incompatibiliteit Onverenigbaar
injecteerbaar geneesmiddel Penicillin G sodium
injecteerbaar geneesmiddel Gentamicin sulfate
3520
Niet-gespecificeerde incompatibiliteit Onverenigbaar
injecteerbaar geneesmiddel Penicillin G sodium
injecteerbaar geneesmiddel Heparin sodium
3540
Niet-gespecificeerde incompatibiliteit Onverenigbaar
injecteerbaar geneesmiddel Penicillin G sodium
injecteerbaar geneesmiddel Hydroxyzine dihydrochloride
3585
Verenigbaar
injecteerbaar geneesmiddel Penicillin G sodium 0.5 MUI/ml
injecteerbaar geneesmiddel Levofloxacine 5 mg/ml
Glucose 5% 1072
Verenigbaar
injecteerbaar geneesmiddel Penicillin G sodium 0.5 MUI/ml
injecteerbaar geneesmiddel Meropenem 50 mg/ml
Water voor injectie 4319
Niet-gespecificeerde incompatibiliteit Onverenigbaar
injecteerbaar geneesmiddel Penicillin G sodium
injecteerbaar geneesmiddel Metaraminol
5046
Niet-gespecificeerde incompatibiliteit Onverenigbaar
injecteerbaar geneesmiddel Penicillin G sodium
injecteerbaar geneesmiddel Methylprednisolone sodium succinate
3585
Onmiddellijke neerslag Onverenigbaar
injecteerbaar geneesmiddel Penicillin G sodium 0.17 MUI/ml
injecteerbaar geneesmiddel Morphine hydrochloride 0,2 mg/ml
Natriumchloride 0,9% 4831
Verenigbaar
injecteerbaar geneesmiddel Penicillin G sodium 0,025 MUI/ml
injecteerbaar geneesmiddel Oxytocin 0,02 UI/ml
Glucose 5% 1725
Verenigbaar
injecteerbaar geneesmiddel Penicillin G sodium 0,05 MUI/ml
injecteerbaar geneesmiddel Oxytocin 0,02 UI/ml
Glucose 5% 1725
Verenigbaar
injecteerbaar geneesmiddel Penicillin G sodium 0,05 MUI/ml
injecteerbaar geneesmiddel Oxytocin 0,02 UI/ml
Natriumchloride 0,9% 1725
Verenigbaar
injecteerbaar geneesmiddel Penicillin G sodium 0,025 MUI/ml
injecteerbaar geneesmiddel Oxytocin 0,02 UI/ml
Natriumchloride 0,9% 1725
Verenigbaar
injecteerbaar geneesmiddel Penicillin G sodium
injecteerbaar geneesmiddel Pantoprazole sodium
2090
Niet-gespecificeerde incompatibiliteit Onverenigbaar
injecteerbaar geneesmiddel Penicillin G sodium
injecteerbaar geneesmiddel Promethazine hydrochloride
3585
Verenigbaar
injecteerbaar geneesmiddel Penicillin G sodium 100 MUI/ml
injecteerbaar geneesmiddel Sildenafil citrate 0,6 mg/ml
Glucose 5% 4845
Verenigbaar
injecteerbaar geneesmiddel Penicillin G sodium
injecteerbaar geneesmiddel Sildenafil citrate 0,6 mg/ml
Glucose 5% 4845
Onmiddellijke neerslag Onverenigbaar
injecteerbaar geneesmiddel Penicillin G sodium
injecteerbaar geneesmiddel Trimebutine
3931
Verenigbaar
injecteerbaar geneesmiddel Penicillin G sodium 0.01 MUI/ml
injecteerbaar geneesmiddel Verapamil hydrochloride 0.08 mg/ml
Natriumchloride 0,9% 1057
Verenigbaar
injecteerbaar geneesmiddel Penicillin G sodium 0.01 MUI/ml
injecteerbaar geneesmiddel Verapamil hydrochloride 0.08 mg/ml
Glucose 5% 1057
Verenigbaar
injecteerbaar geneesmiddel Penicillin G sodium 0,05 MUI/ml
injecteerbaar geneesmiddel Zidovudine 4 mg/ml
Natriumchloride 0,9% 1725
Verenigbaar
injecteerbaar geneesmiddel Penicillin G sodium 0,025 MUI/ml
injecteerbaar geneesmiddel Zidovudine 4 mg/ml
Glucose 5% 1725
Verenigbaar
injecteerbaar geneesmiddel Penicillin G sodium 0,025 MUI/ml
injecteerbaar geneesmiddel Zidovudine 4 mg/ml
Natriumchloride 0,9% 1725
Verenigbaar
injecteerbaar geneesmiddel Penicillin G sodium 0,05 MUI/ml
injecteerbaar geneesmiddel Zidovudine 4 mg/ml
Glucose 5% 1725

  Mentions Légales