Cập nhật lần cuối :
27/04/2026
Thuốc chống nấm   Amphotericin B liposomale  
Thuốc nhỏ mắt
Dạng tiêm
Tính ổn định của các chế phẩm Độ ổn định khi trộn lẫn Những yếu tố ảnh hưởng đến độ ổn định Khả năng tương thích Tài liệu tham khảo Pdf
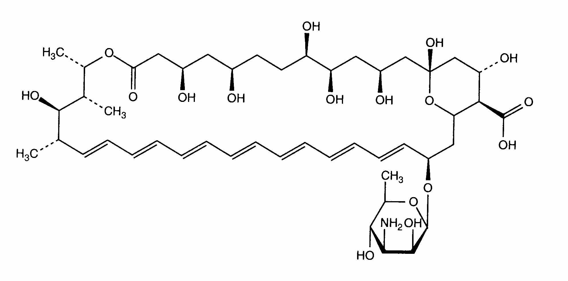
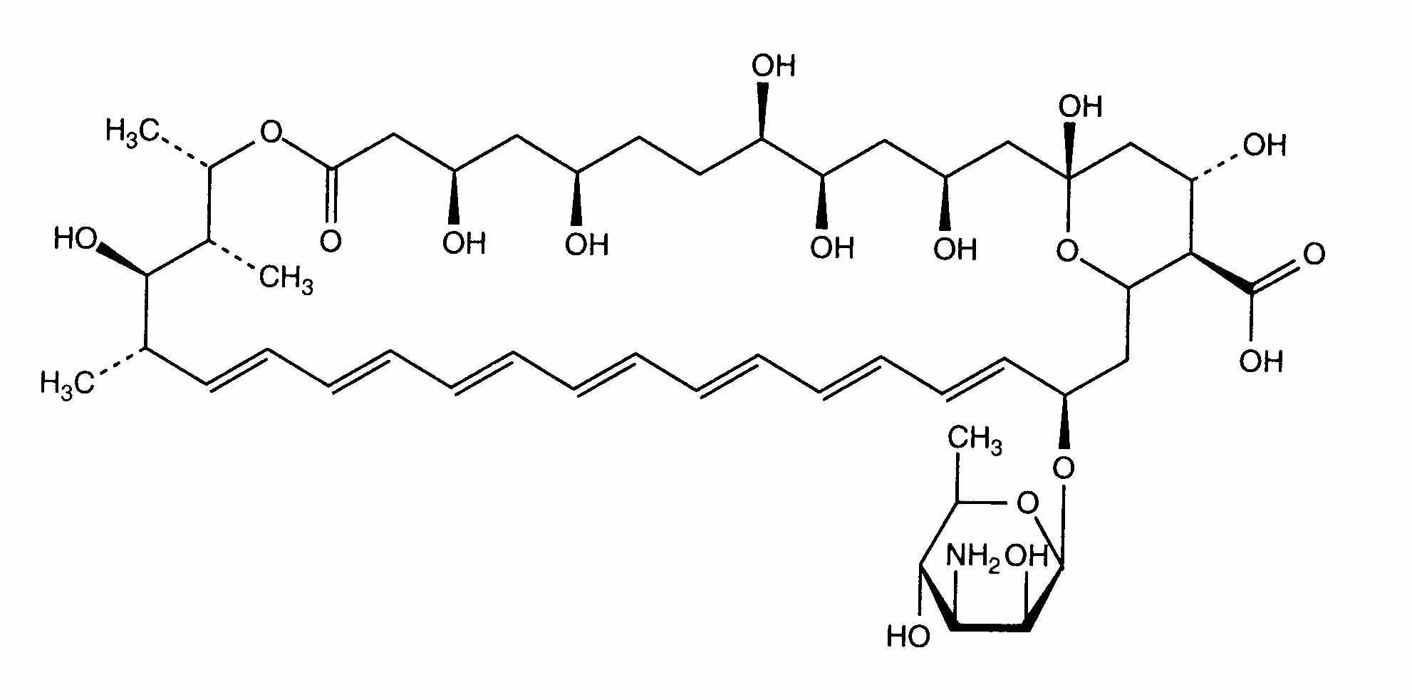
Liposome   Cấu trúc hóa học  

Thuốc nhỏ mắt
Khả năng tương thích   Thuốc nhỏ mắt   Khả năng tương thích : Amphotericin B liposomale              
Không có dữ liệu

  Mentions Légales