Pēdējā atjaunošana :
27/04/2026
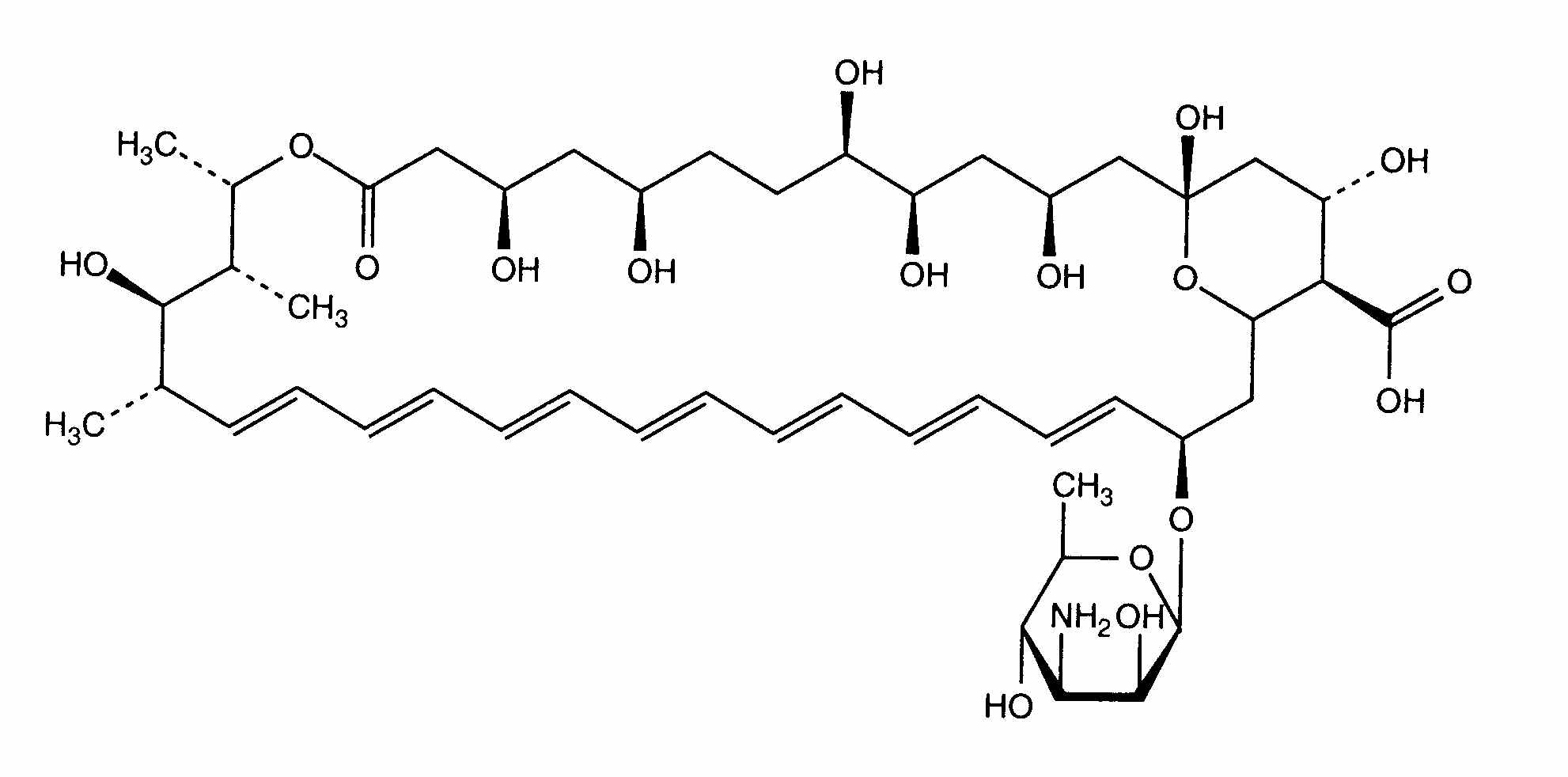
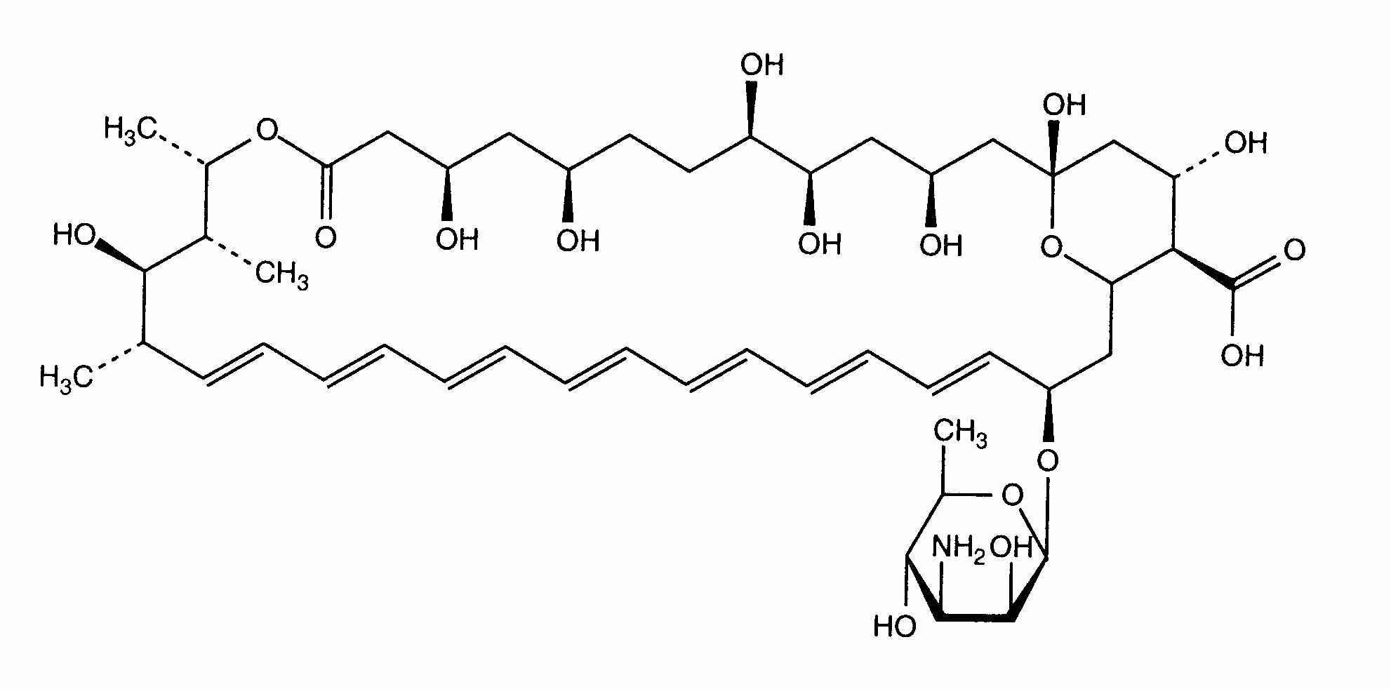
Pretsēnīšu līdzeklis   Amphotericin B liposomale  
Acu pilieni
Injekcija
Stabilitāte farmaceitisko preparātu Maisījuma stabilitāte Stabilitāti ietekmējoši faktori Saderība Literatūras saraksts pdf
Liposoma   Ķīmiskā uzbūve   

Acu pilieni
Saderība   Acu pilieni   Saderība : Amphotericin B liposomale              
Nav datu

  Mentions Légales