Poslední aktualizace :
27/04/2026
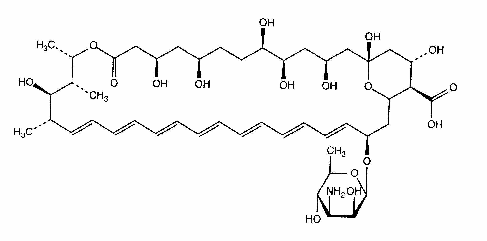
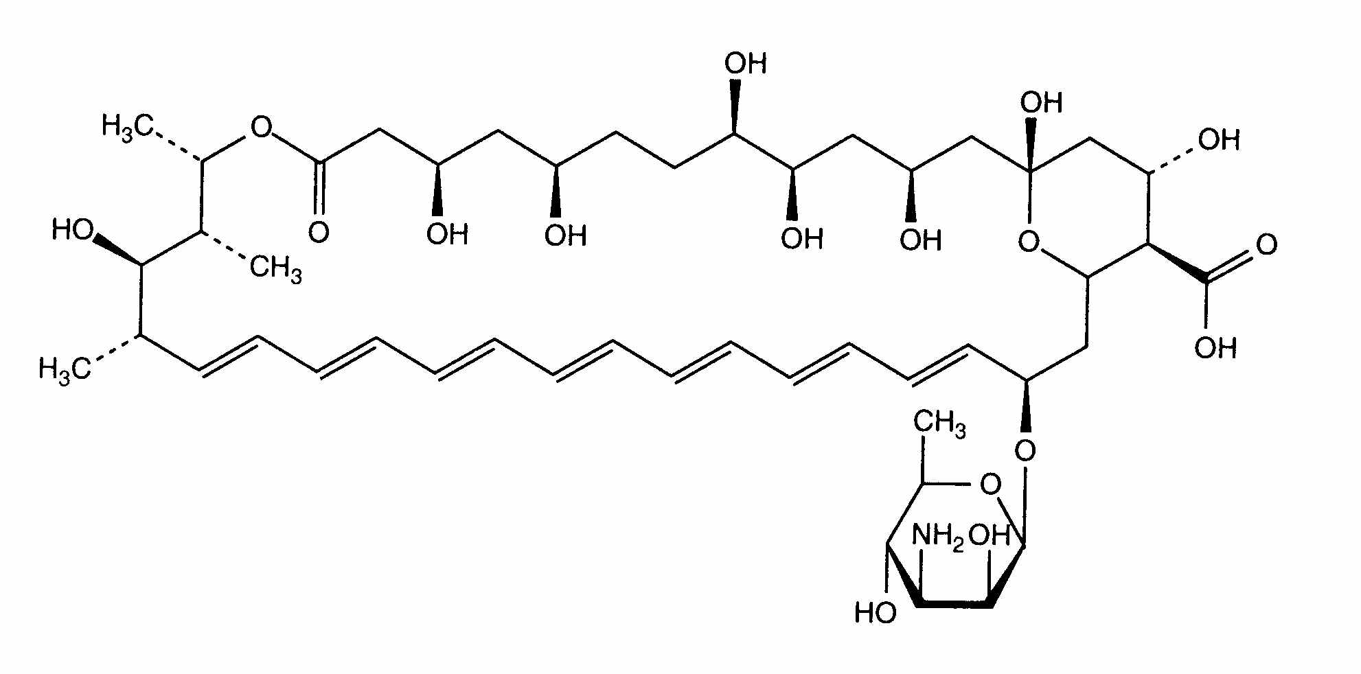
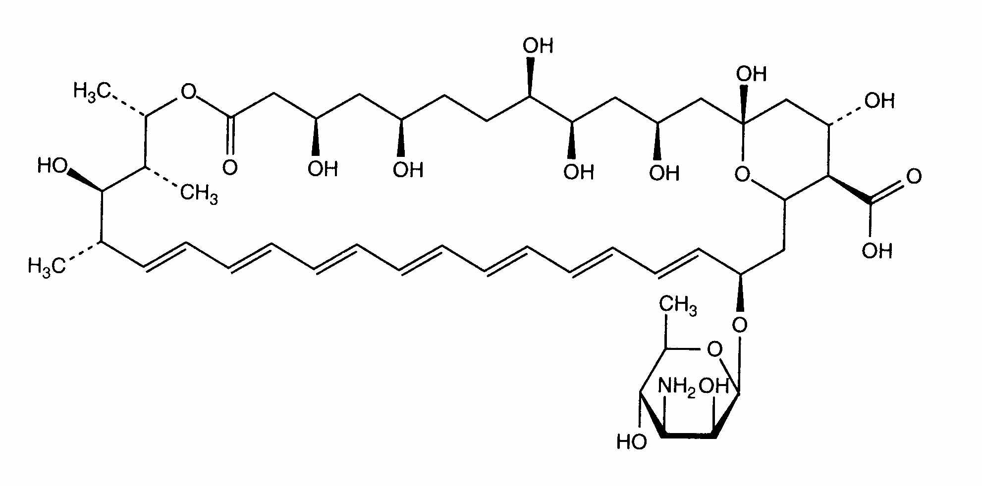
Priešgrybelinis vaistas   Amphotericin B liposomale  
Akių lašai
Įpurškimas
Stabilumas farmacinių preparatų Mišinių stabilumas Stabilumą lemiantys veiksniai Suderinamumas Bibliografija pdf
Liposoma   Cheminė sandara  

Akių lašai
Suderinamumas   Akių lašai   Suderinamumas : Amphotericin B liposomale              
Nėra duomenų

  Mentions Légales