Последно актуализиране :
27/04/2026
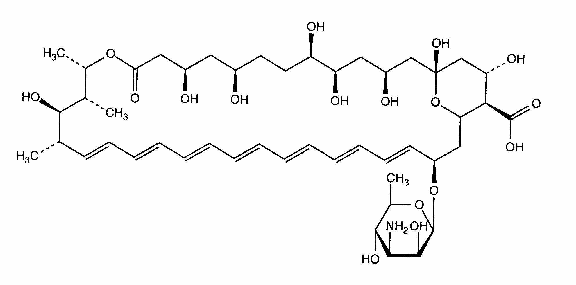
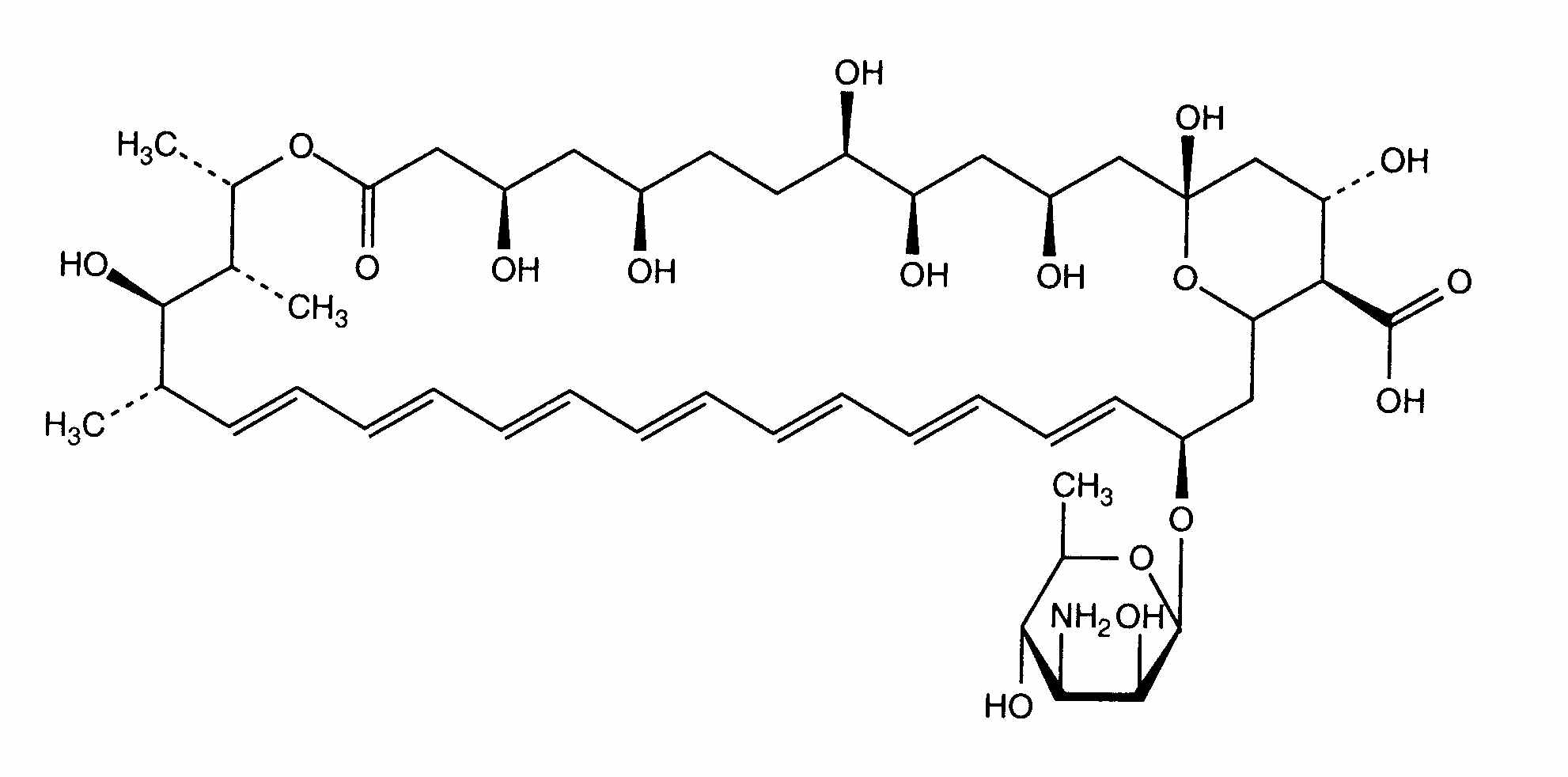
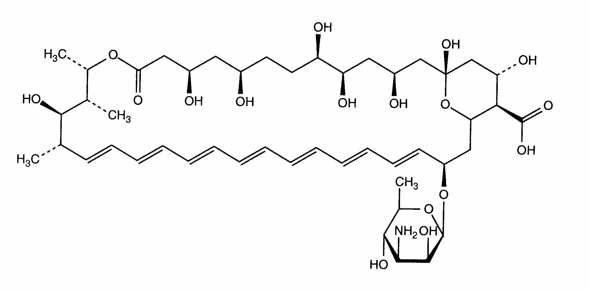
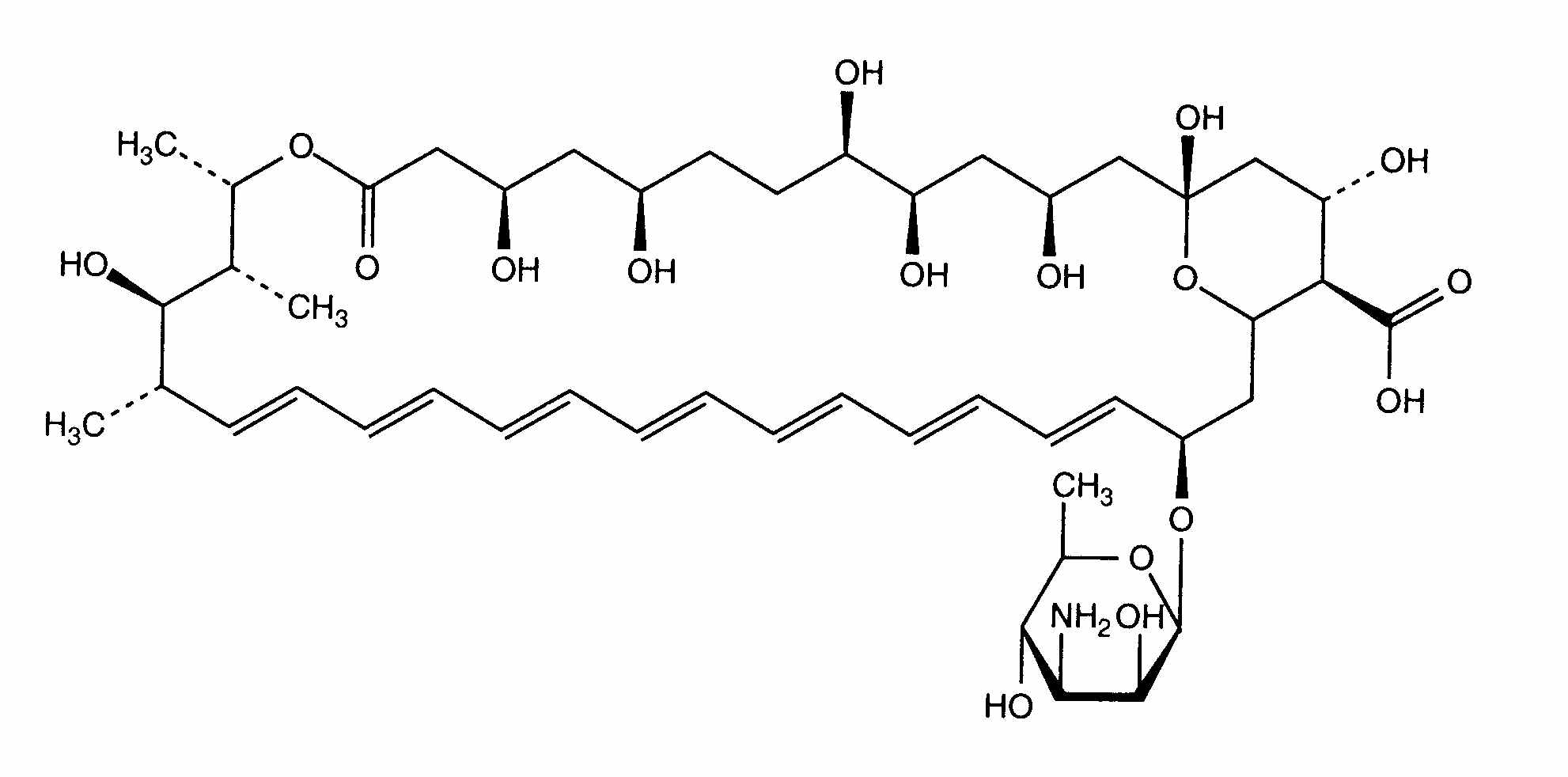
Противогъбично средство   Amphotericin B liposomale  
Капки за очи
Инжекция/Инжекционен
Стабилност на лекарствени препарати Стабилност на смеси Фактори, повлияващи стабилността Съвместимост Библиография Pdf
липозомен   Химична структура  

Капки за очи
Съвместимост   Капки за очи   Съвместимост : Amphotericin B liposomale              
Няма данни

  Mentions Légales