آخر تحديث :
27/04/2026
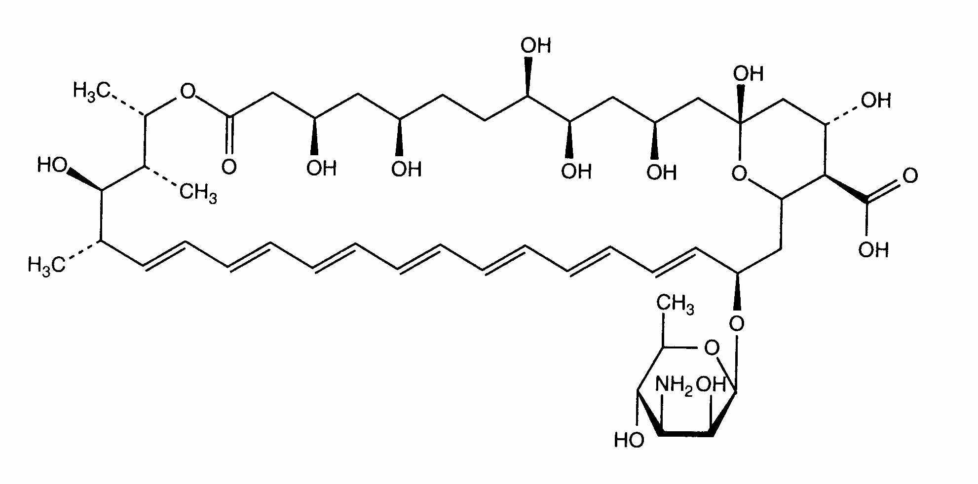
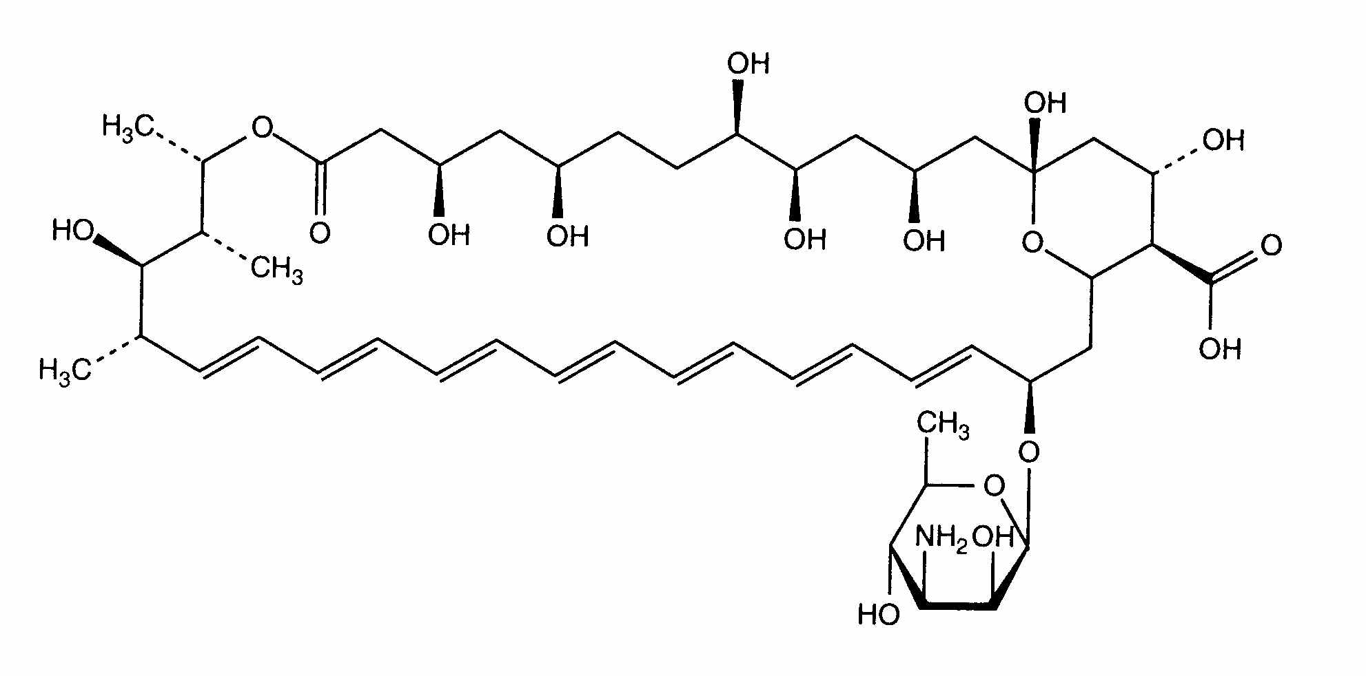
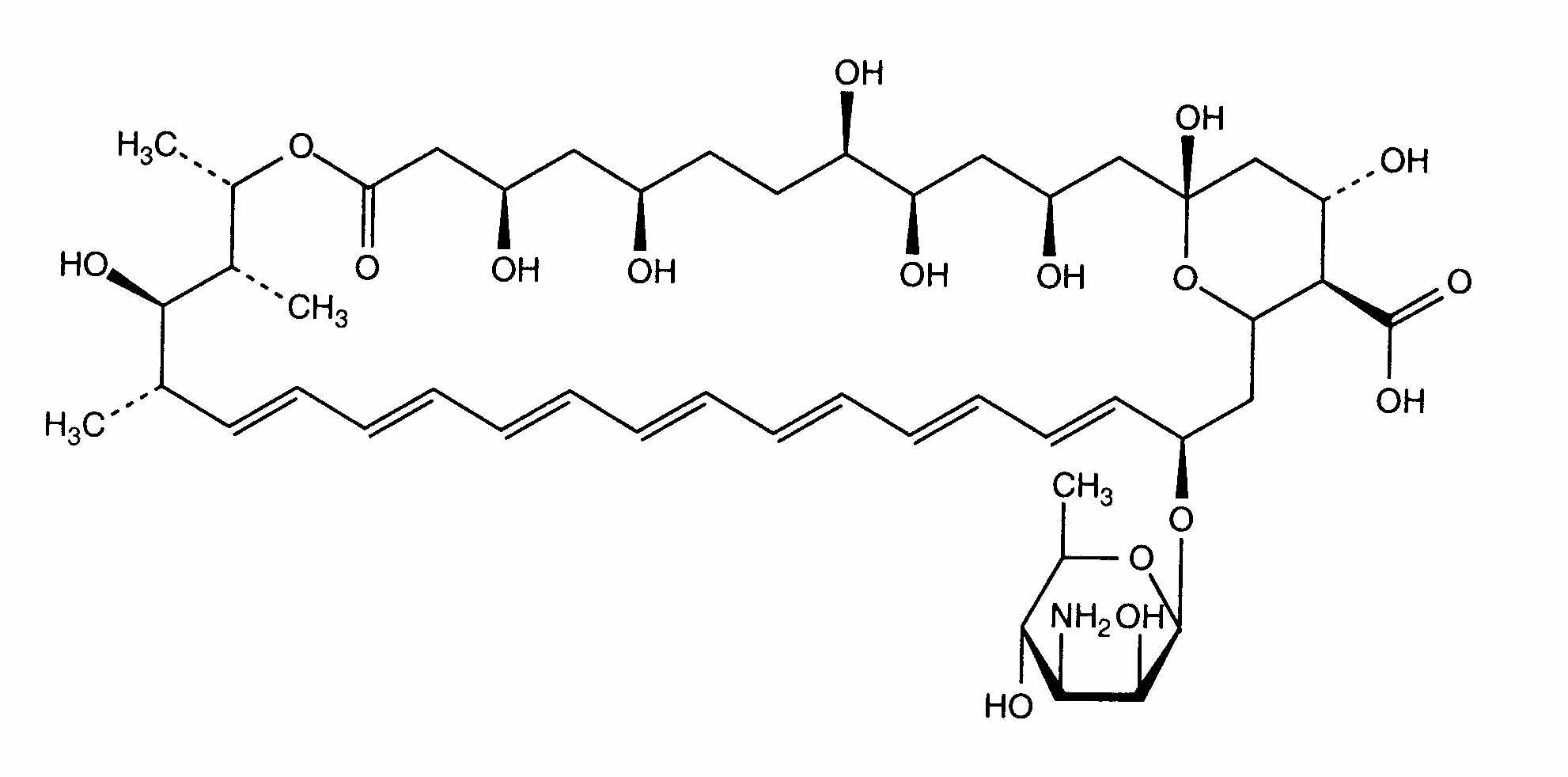
مضاد للفطريات   Amphotericin B liposomale  
قطرات العين
حقن
استقرار المستحضرات الصيدلانية استقرار مخاليط العوامل التي تؤثر على الاستقرار التوافق مراجع pdf
الحويصلية   التركيب الكيميائي  

قطرات العين
التوافق   قطرات العين   التوافق : Amphotericin B liposomale              
لا توجد بيانات

  Mentions Légales