Viimeisin päivitys :
27/04/2026
Sienilääkkeet   Amphotericin B liposomale  
Silmätipat
Injektioneste
Vakaus lääkevalmisteen Stabilius seoksissa Tekijät, jotka vaikuttavat stabiliuteen Yhteensopivuus Viitteet pdf
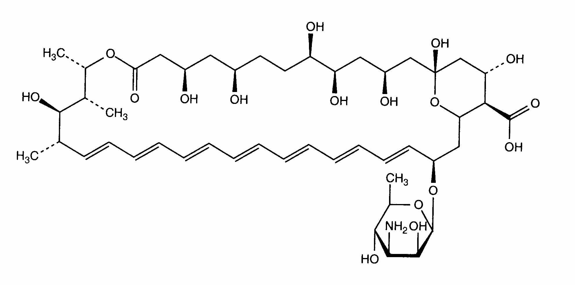
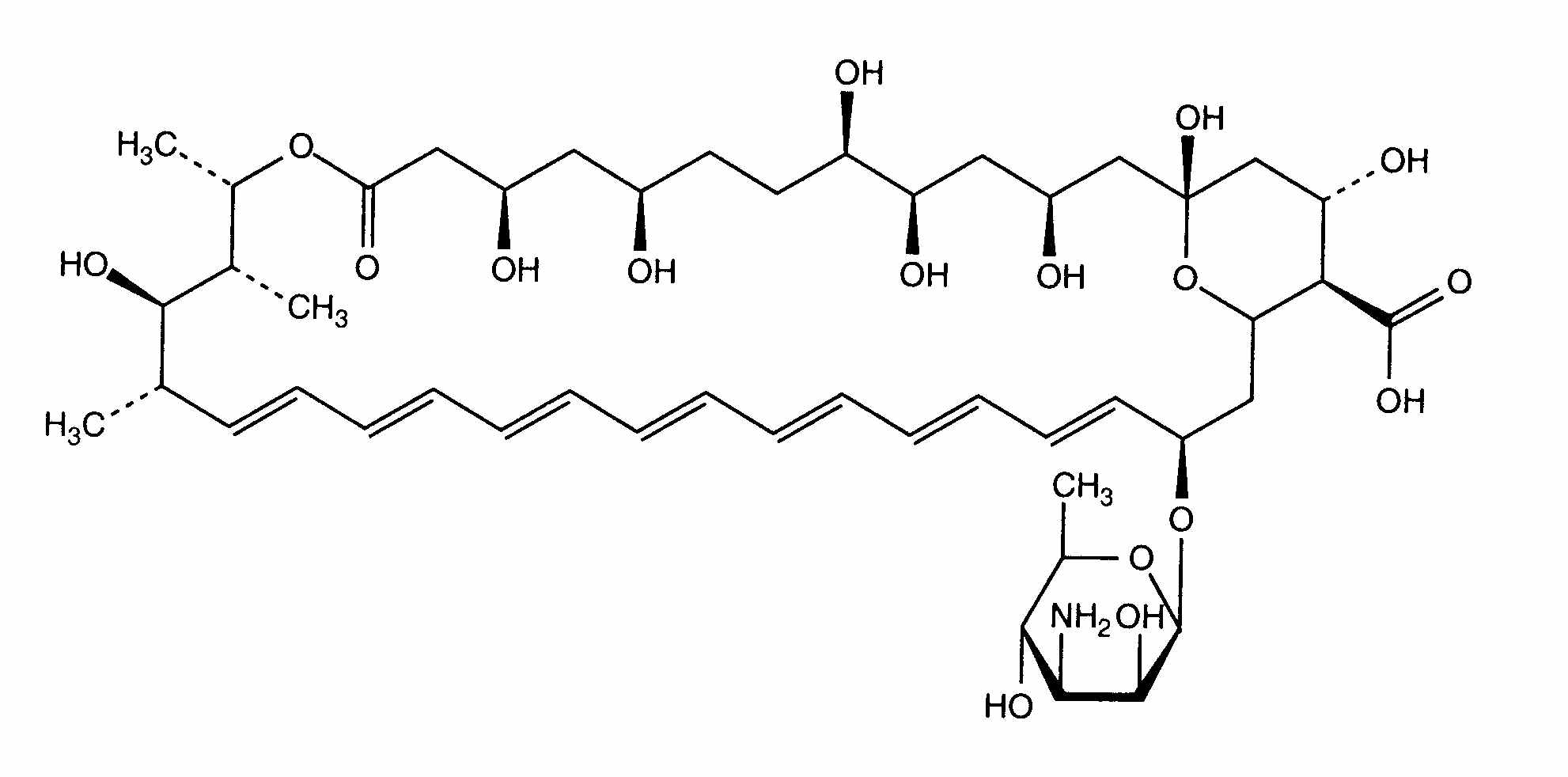
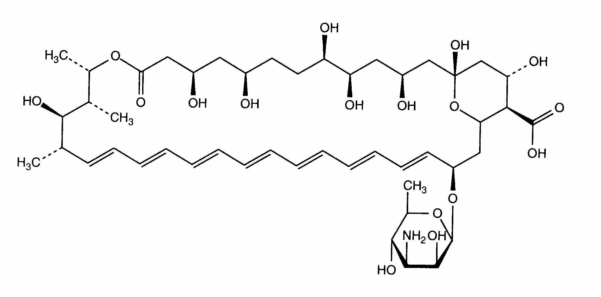
Liposomi   Kemiallinen rakenne  

Silmätipat
Yhteensopivuus   Silmätipat   Yhteensopivuus : Amphotericin B liposomale              
ei tietoa

  Mentions Légales