Senaste uppdateringen :
27/04/2026
Antimykotikum   Amphotericin B liposomale  
ögondroppar
injektion
Stabilitet av läkemedel Stabilitet i blandningar Faktorer som påverkar stabiliteten Kompatibilitet Hänvisningar pdf
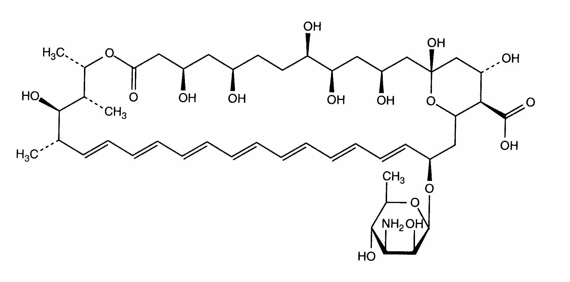
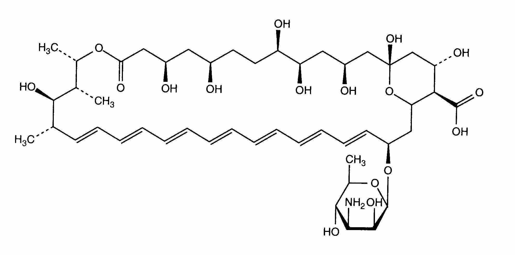
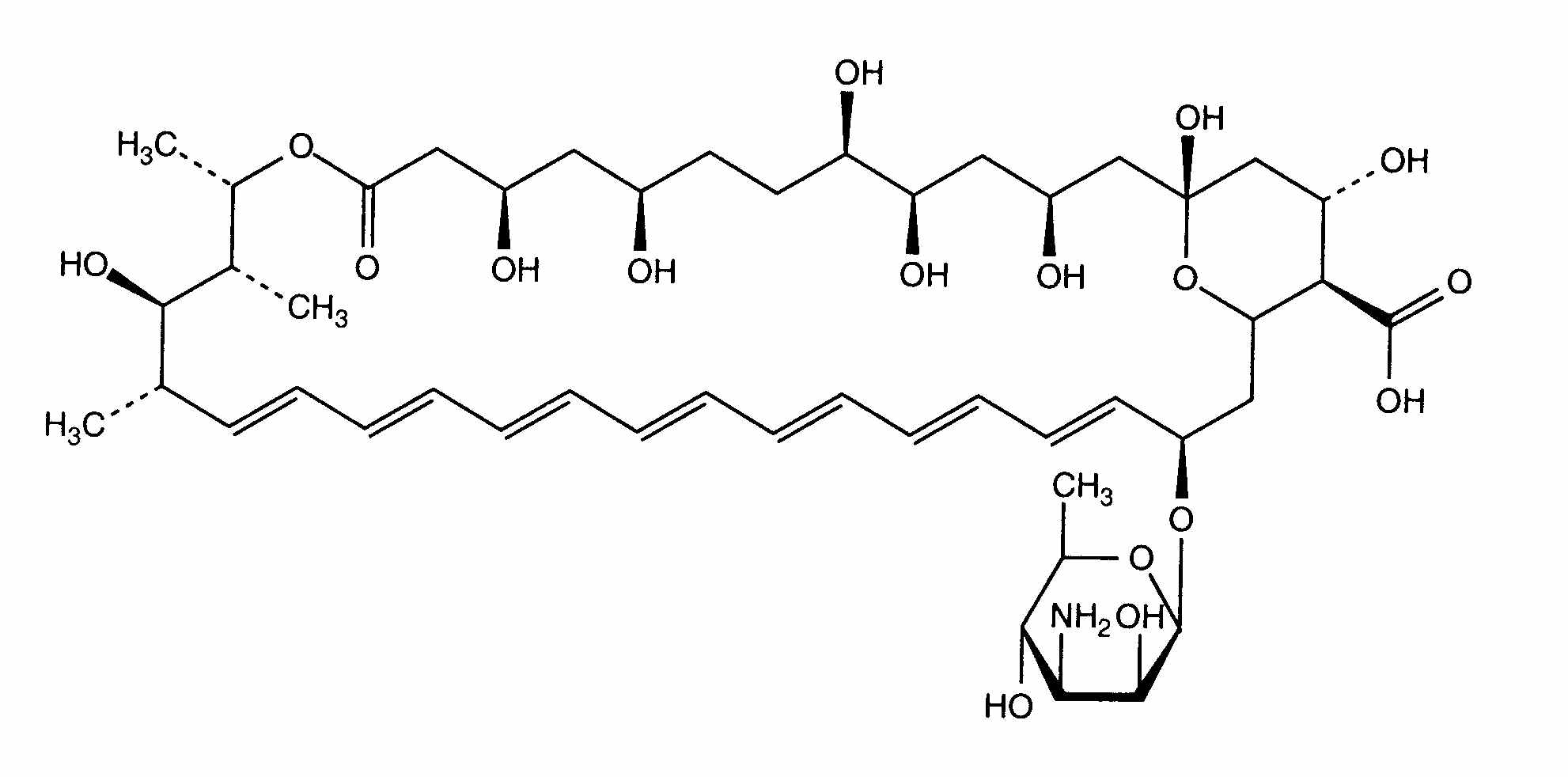
Liposom   Molekylstruktur  

ögondroppar
Kompatibilitet   ögondroppar   Kompatibilitet : Amphotericin B liposomale              
Ingen uppgift

  Mentions Légales