Posledná aktualizácia :
27/04/2026
antimykotikum   Amphotericin B liposomale  
Očná instilácia
Injekcia
Stabilita farmaceutických prípravkov Stabilita v zmesiach Faktory ovplyvňujúce stabilitu Kompatibility Odkazy na literatúru PDF
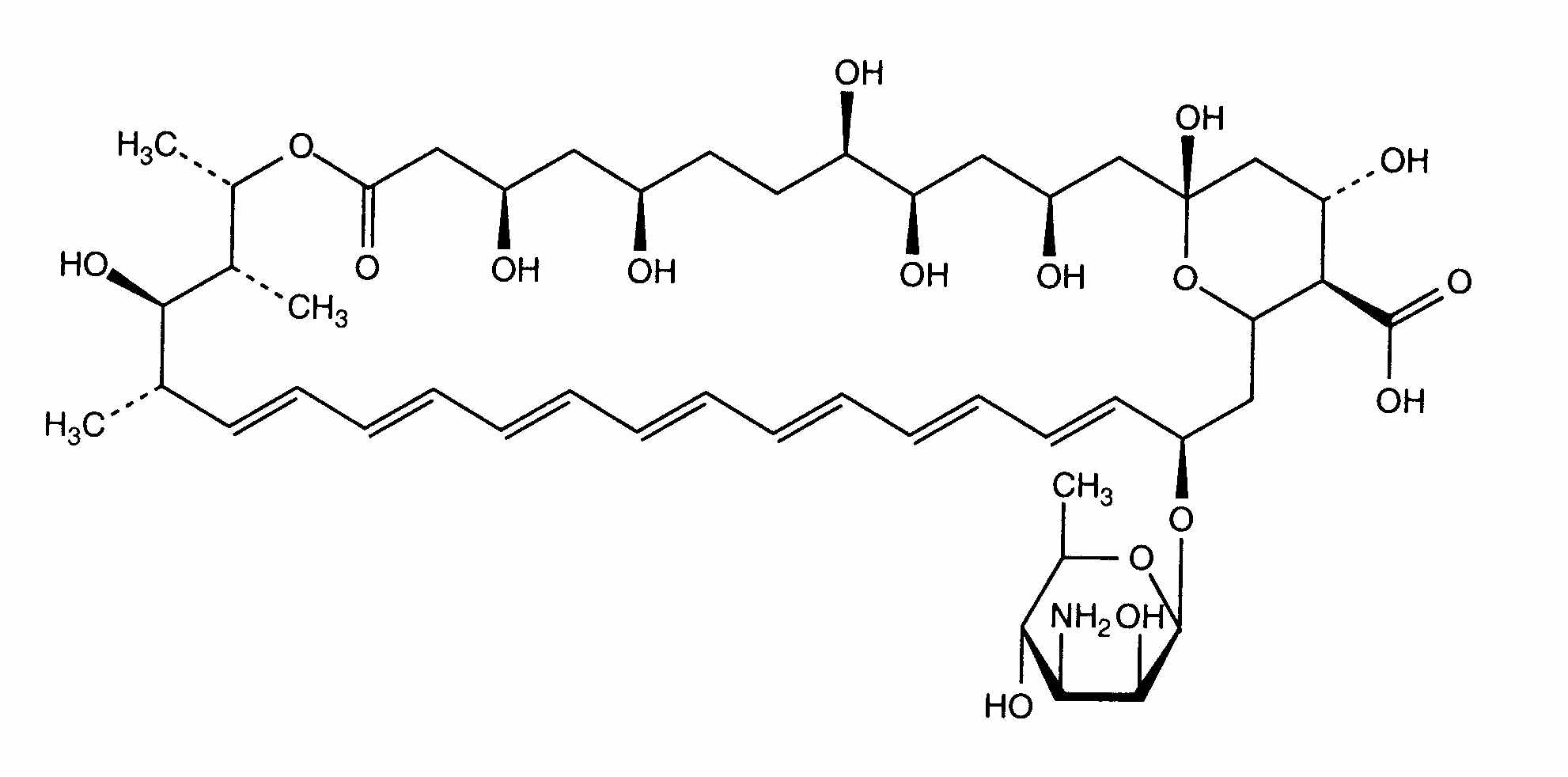
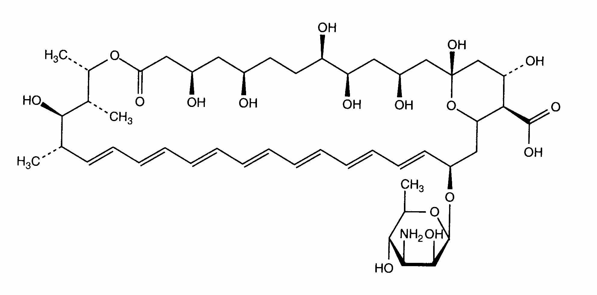
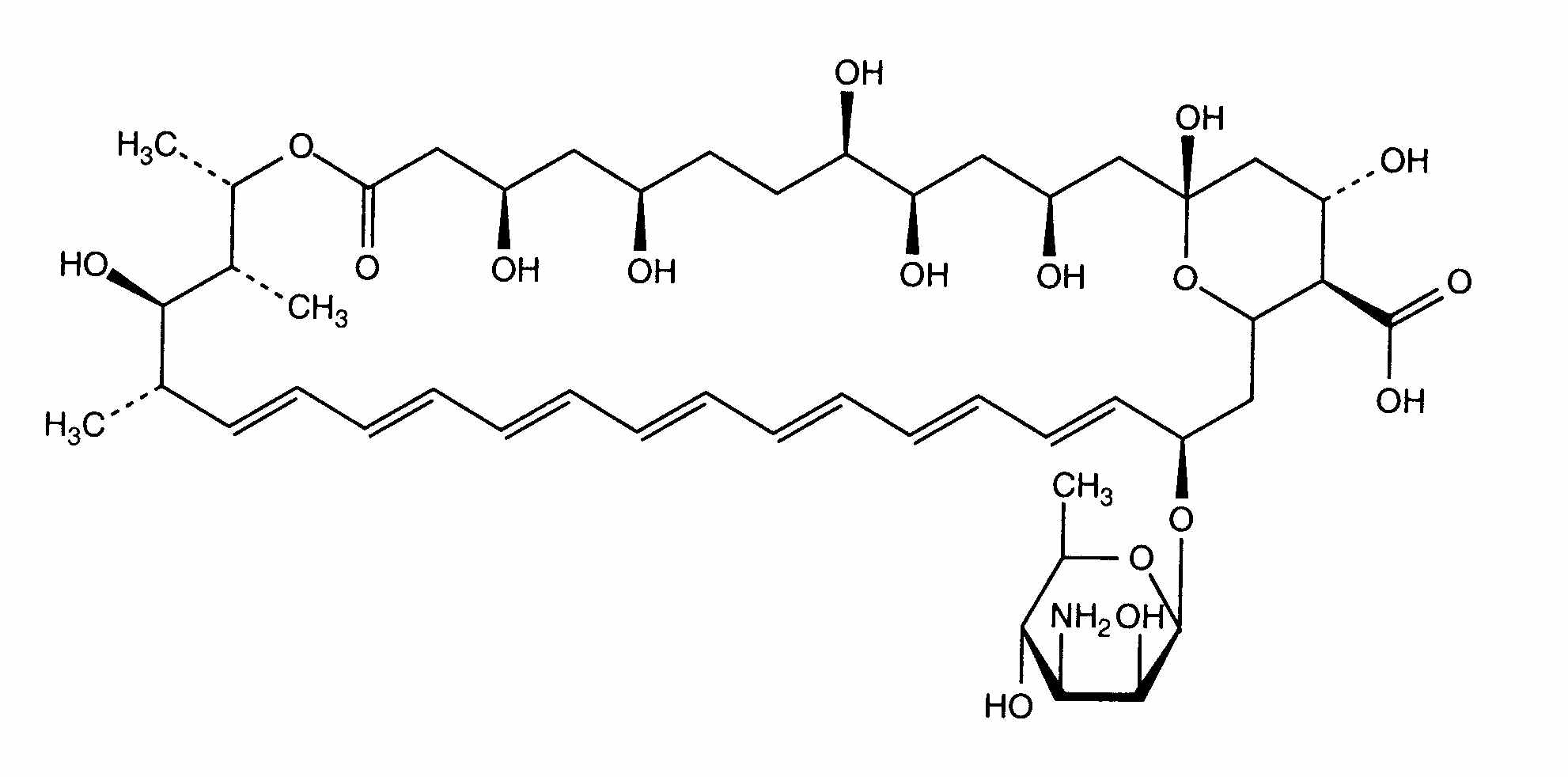
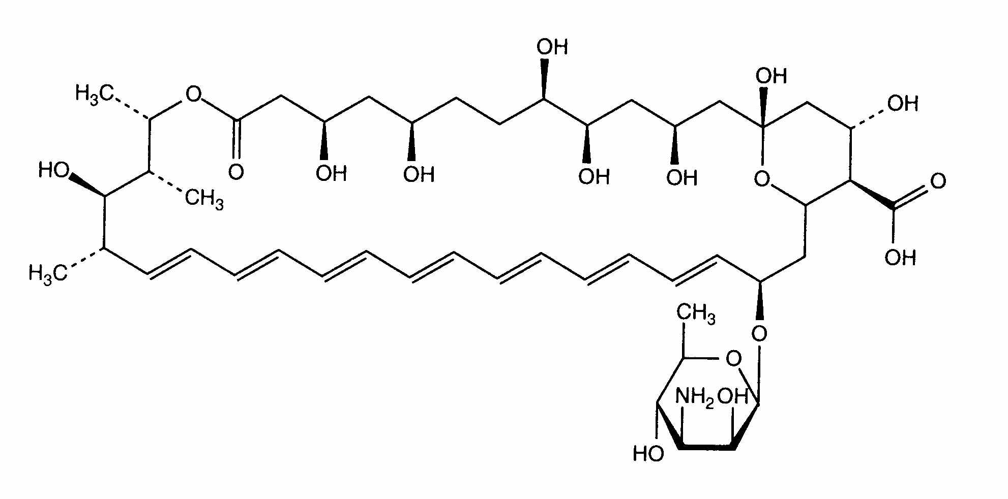
lipozóm   Chemický vzorec  

Očná instilácia
Kompatibility   Očná instilácia   Kompatibility : Amphotericin B liposomale              
žiadne údaje

  Mentions Légales