Ostatnia aktualizacja :
27/04/2026
Lek przeciwgrzybiczny   Amphotericin B liposomale  
Krople oczne
Injekcje
Stabilność preparatów farmaceutycznych Trwałość w mieszaninie Czynnik wpływający na trwałość Zgodność Bibliografia pdf
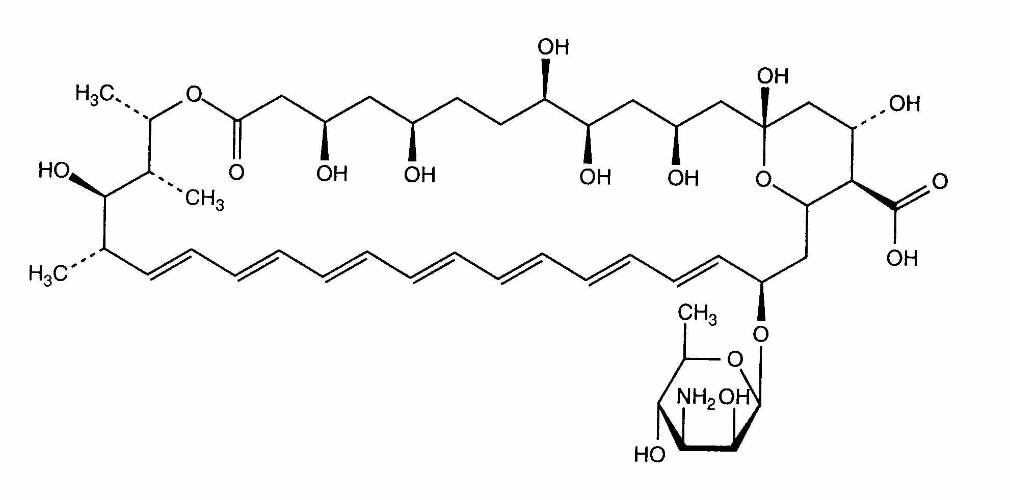
Liposomy   Struktura chemiczna  

Krople oczne
Zgodność   Krople oczne   Zgodność : Amphotericin B liposomale              
Brak danych

  Mentions Légales