Последнее обновление :
27/04/2026
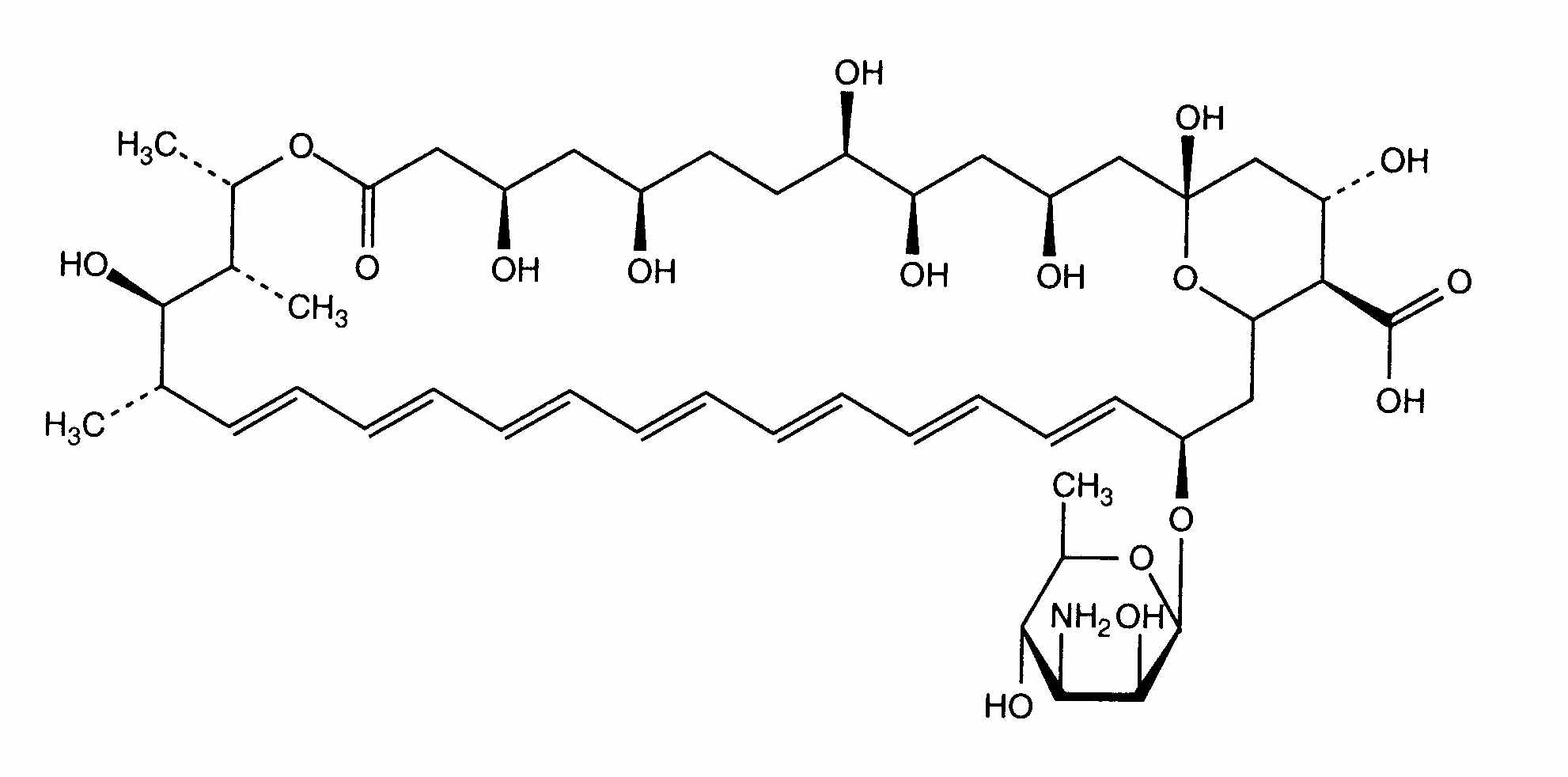
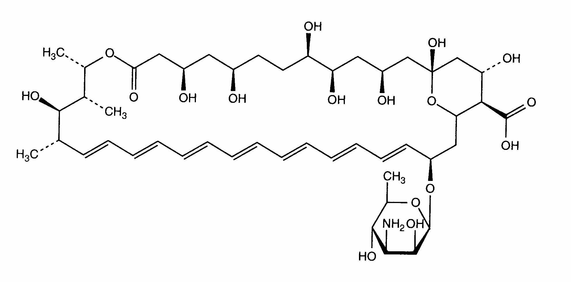
Противогрибковое средство   Amphotericin B liposomale  
Глазные капли
Инъекция
Стабильность фармацевтических препаратов Стабильность смесей Факторы, которые влияют на стабильность Совместимость Библиография pdf
Липосома   Химическая структура  

Глазные капли
Совместимость   Глазные капли   Совместимость : Amphotericin B liposomale              
данных нет

  Mentions Légales