Son güncelleme :
27/04/2026
Antifungal   Amphotericin B liposomale  
Göz damlası
Enjeksiyon
Farmasötik preparatlar Kararlılığı Karışımlardaki stabilitesi Stabiliteyi etkileyen faktörler Uyumluluk Kaynaklar pdf
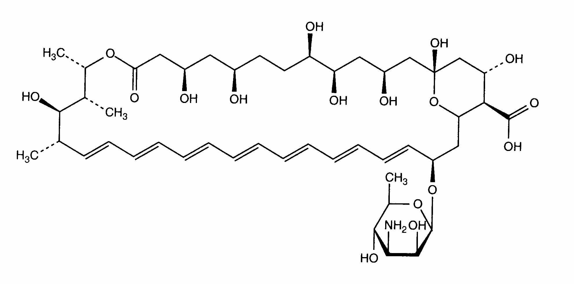
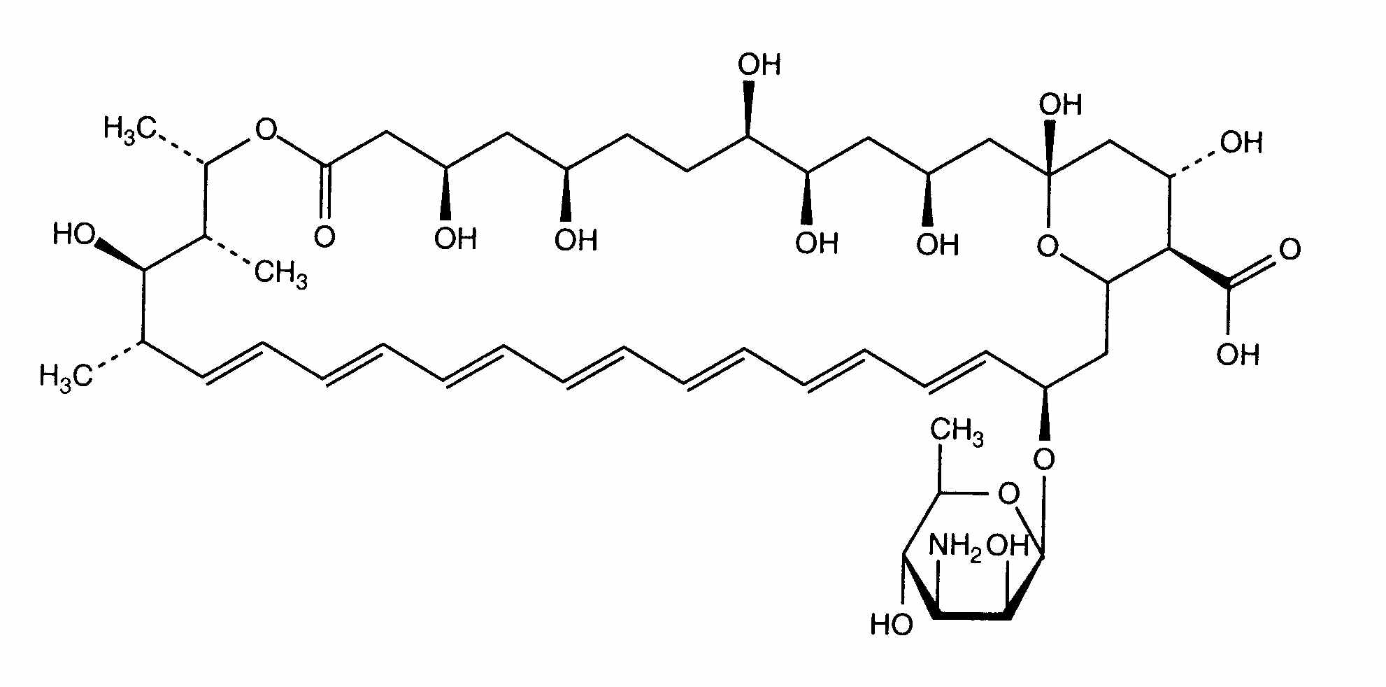
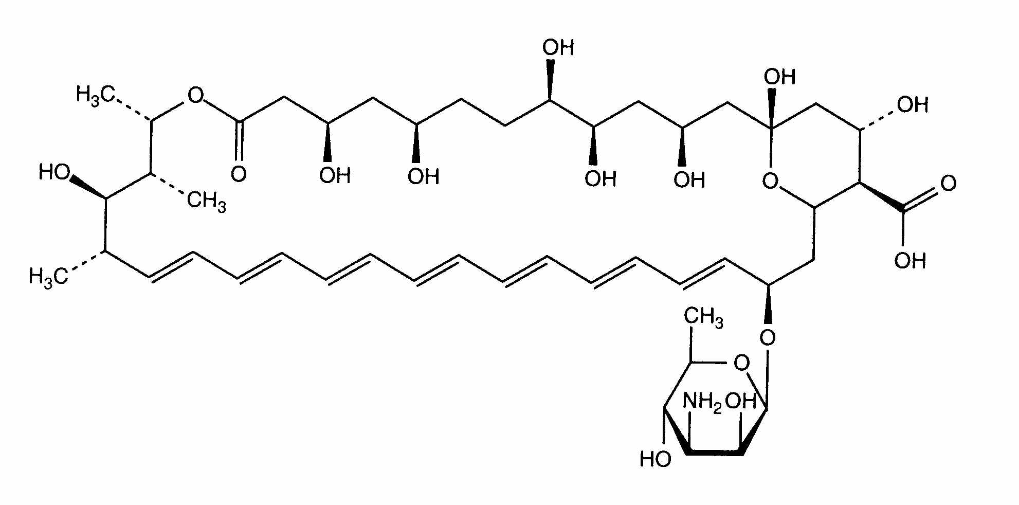
Lipozom   Kimyasal yapı   

Göz damlası
Uyumluluk   Göz damlası   Uyumluluk : Amphotericin B liposomale              
veri yok

  Mentions Légales