Last update :
21/01/2026
Antifungal   Amphotericin B liposomale  
Eye-drops
injection
Stability of pharmaceutical preparations Stability of mixtures Factors which affect stability Compatibility References pdf
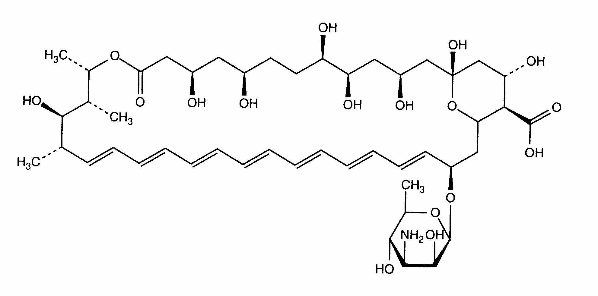
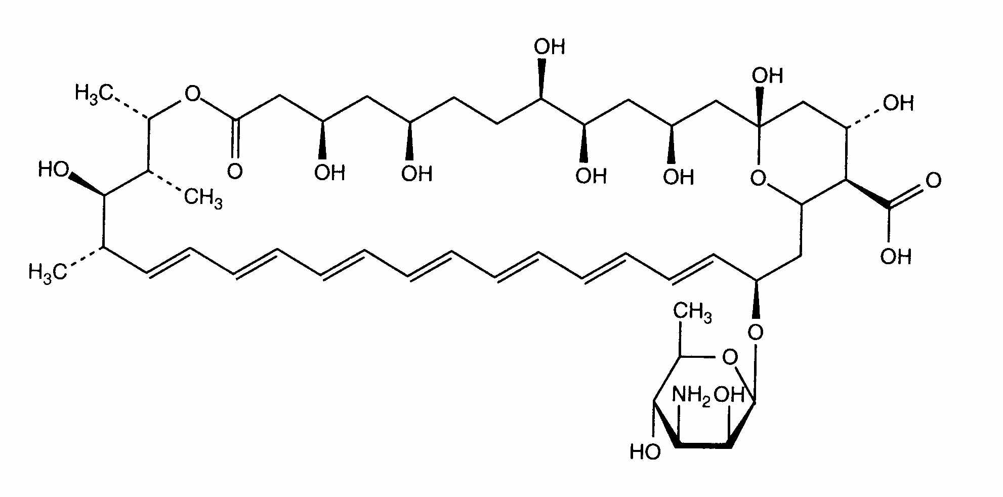
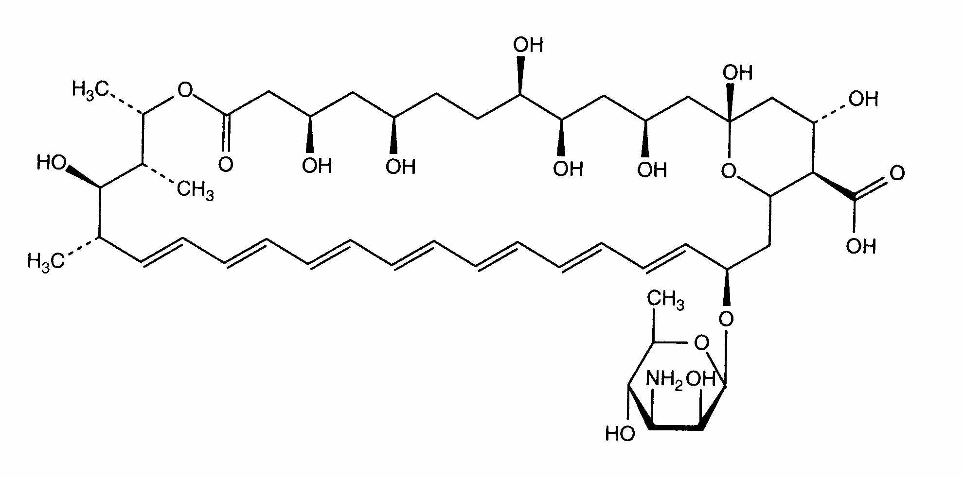
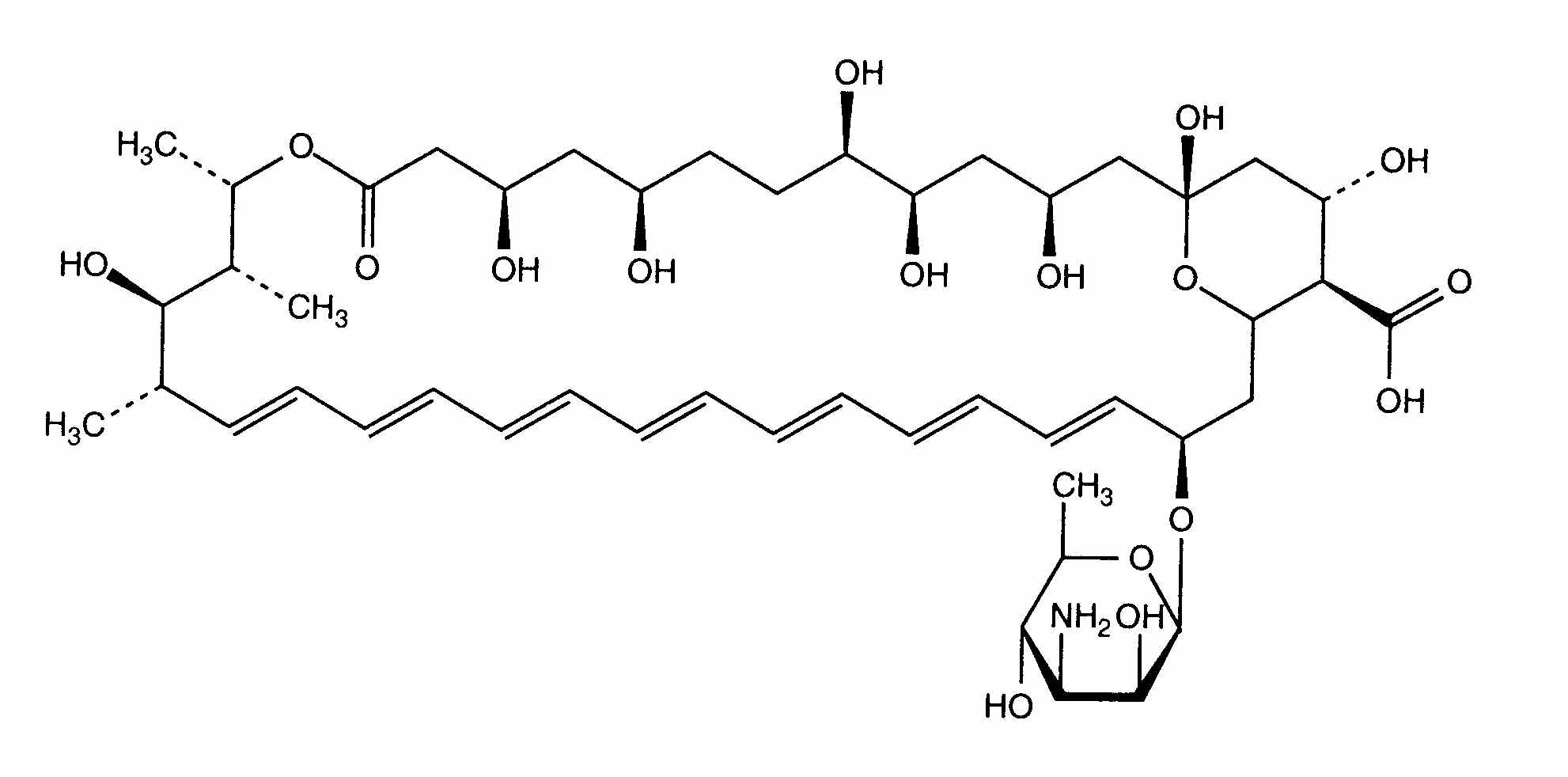
Liposome   Chemical structure  

Eye-drops
Compatibility   Eye-drops   Compatibility : Amphotericin B liposomale              
No data

  Mentions Légales