zadnja posodobitev :
27/04/2026
Antimikotik   Amphotericin B liposomale  
Kapljice za oči
Brizgalka
Stabilnost farmacevtskih preparatov Stabilnost mešanice Faktorji, ki vplivajo na stabilnost Kompatibilnost Viri pdf
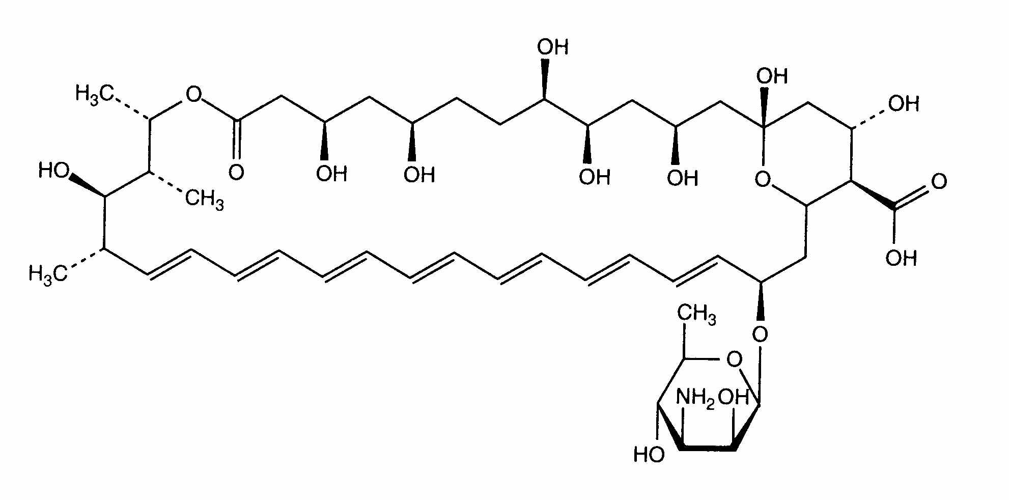
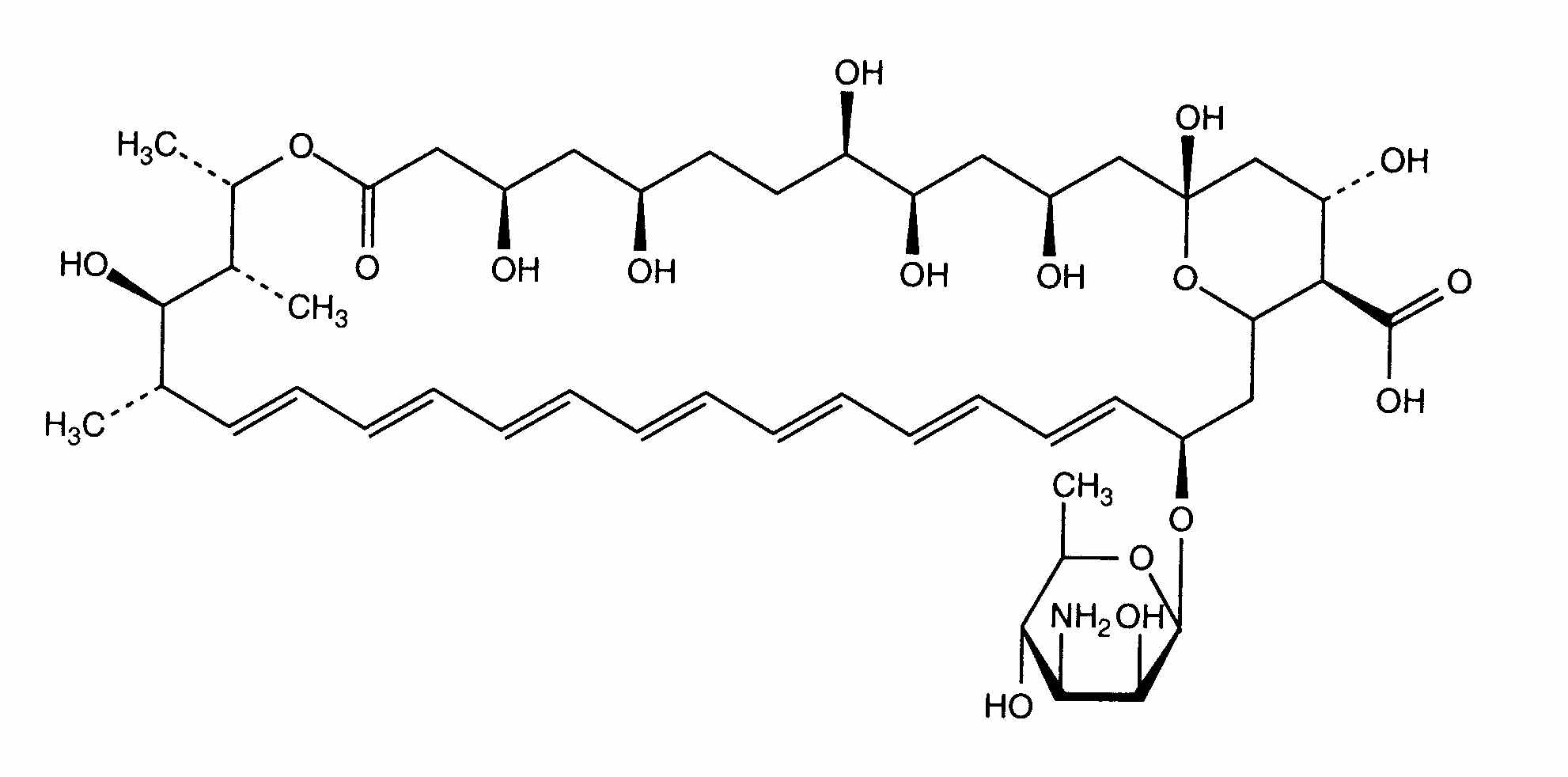
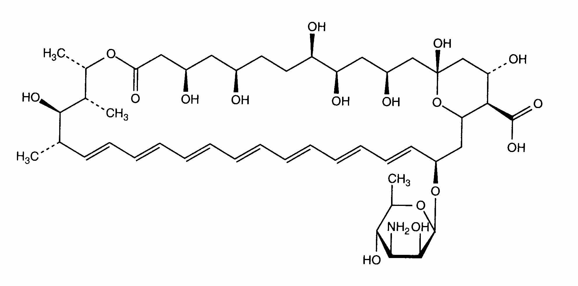
Liposom   Kemična formula  

Kapljice za oči
Kompatibilnost   Kapljice za oči   Kompatibilnost : Amphotericin B liposomale              
ni podatka

  Mentions Légales