Останнє оновлення :
21/01/2026
Infostab
Список препаратів
Зведені списки
Пошук сумісності
Таблиця сумісності Y-site
Список літератури
Дослідницькі групи
valistab
Плакати
Посилання
Спонсори
Автори
Посібник користувача
Newsletter
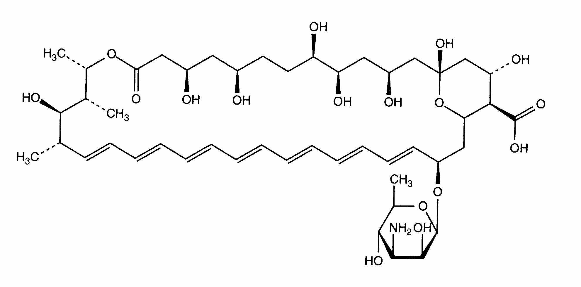
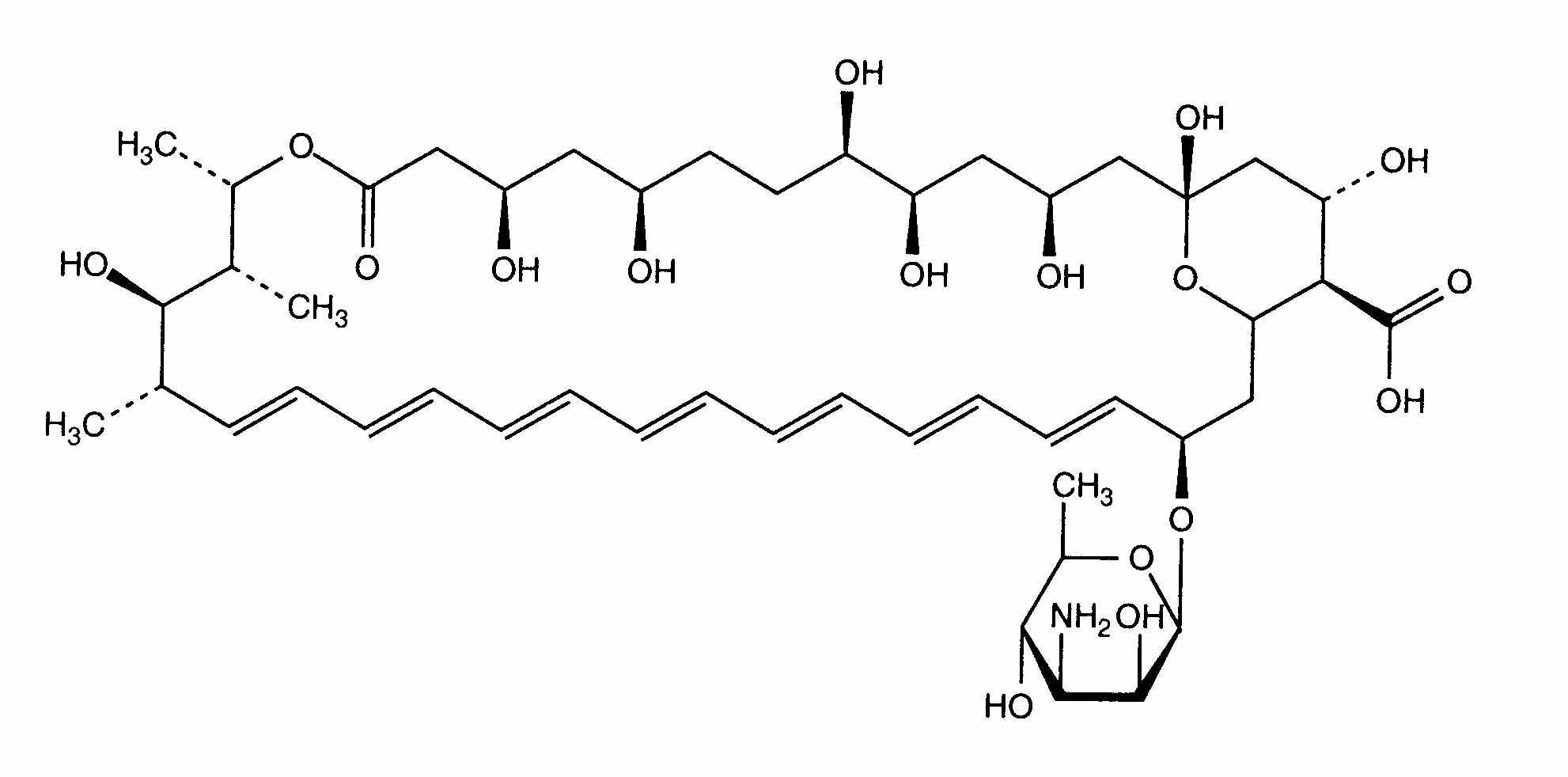
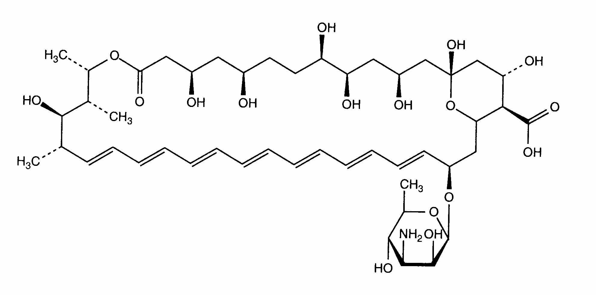
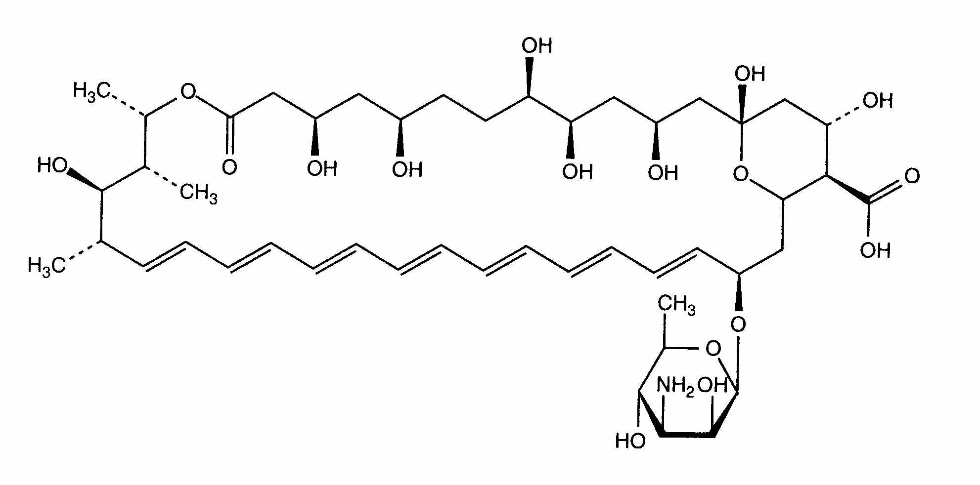
Amphotericin B liposomale
Хімічна структура
Стабільність фармацевтичних препаратів : Amphotericin B liposomale
5 mg
Ambisome®
Вода для ін'єкцій
>> 1 ml
2-8°C
180
2654
5 mg
Ambisome®
Вода для ін'єкцій
>> 1 ml
25°C
180
2654
Mentions Légales