Ultimele actualizari :
27/04/2026
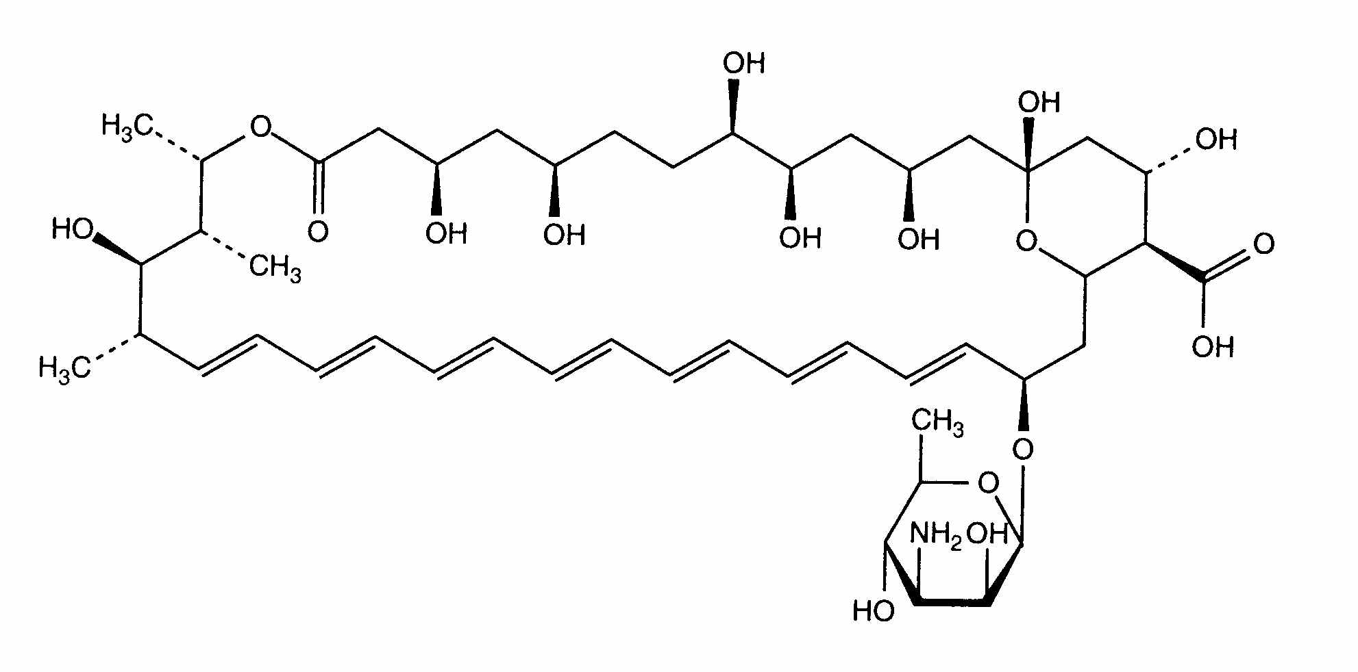
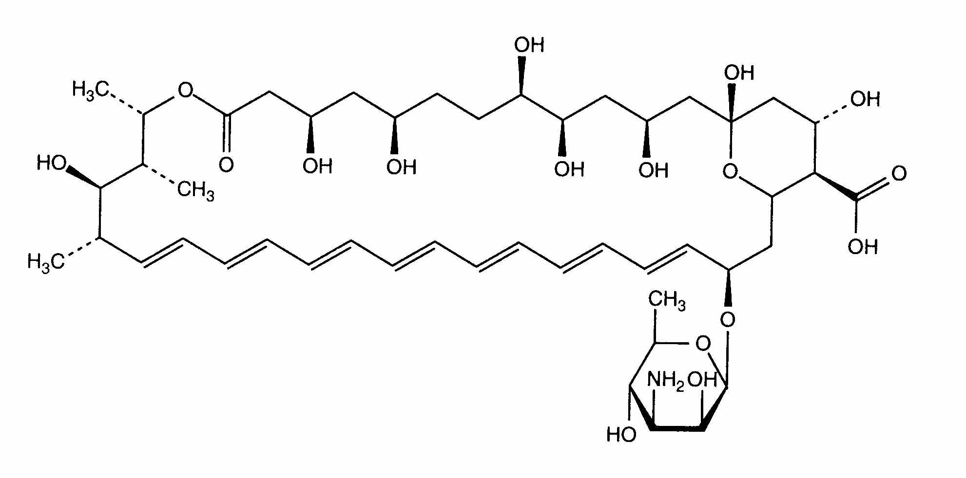
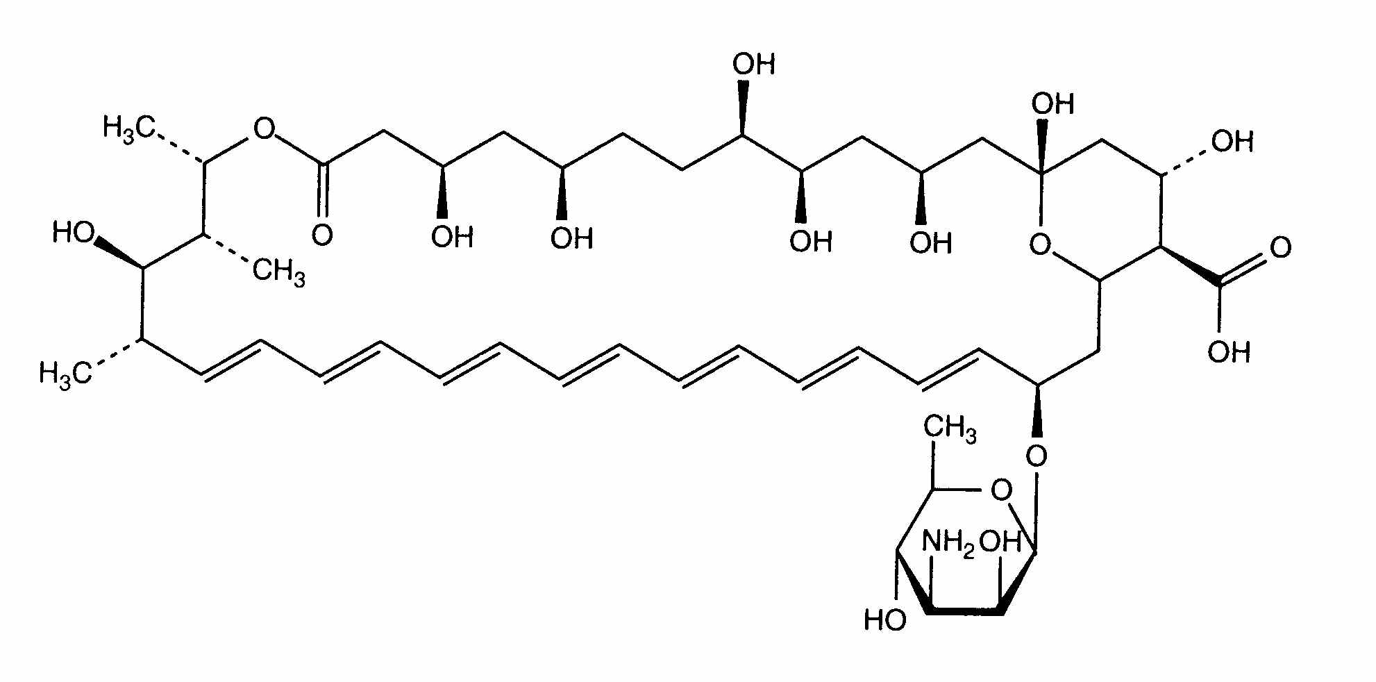
Antifungic   Amphotericin B liposomale  
colir
Injectabil
Stabilitatea preparatelor farmaceutice Stabilitatea in amestec Factorii care influenteaza stabilitatea Compatibilitate Bibliografie pdf
Lipozom   Formula chimica  

colir
Compatibilitate   colir   Compatibilitate : Amphotericin B liposomale              
Absenta de date

  Mentions Légales