Última actualização :
27/04/2026
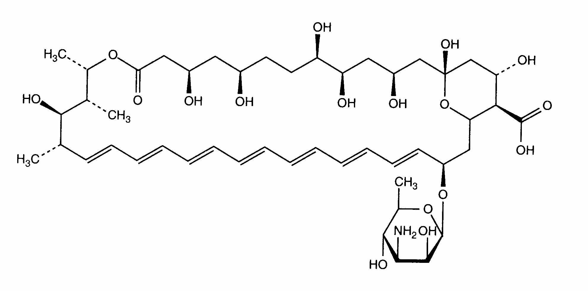
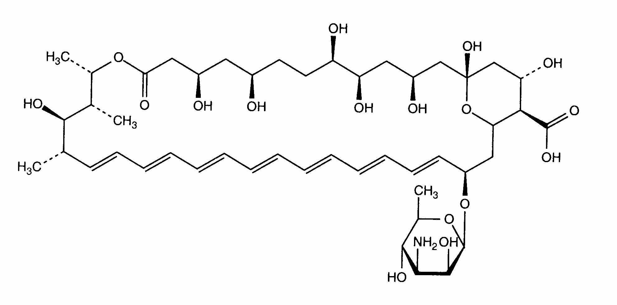
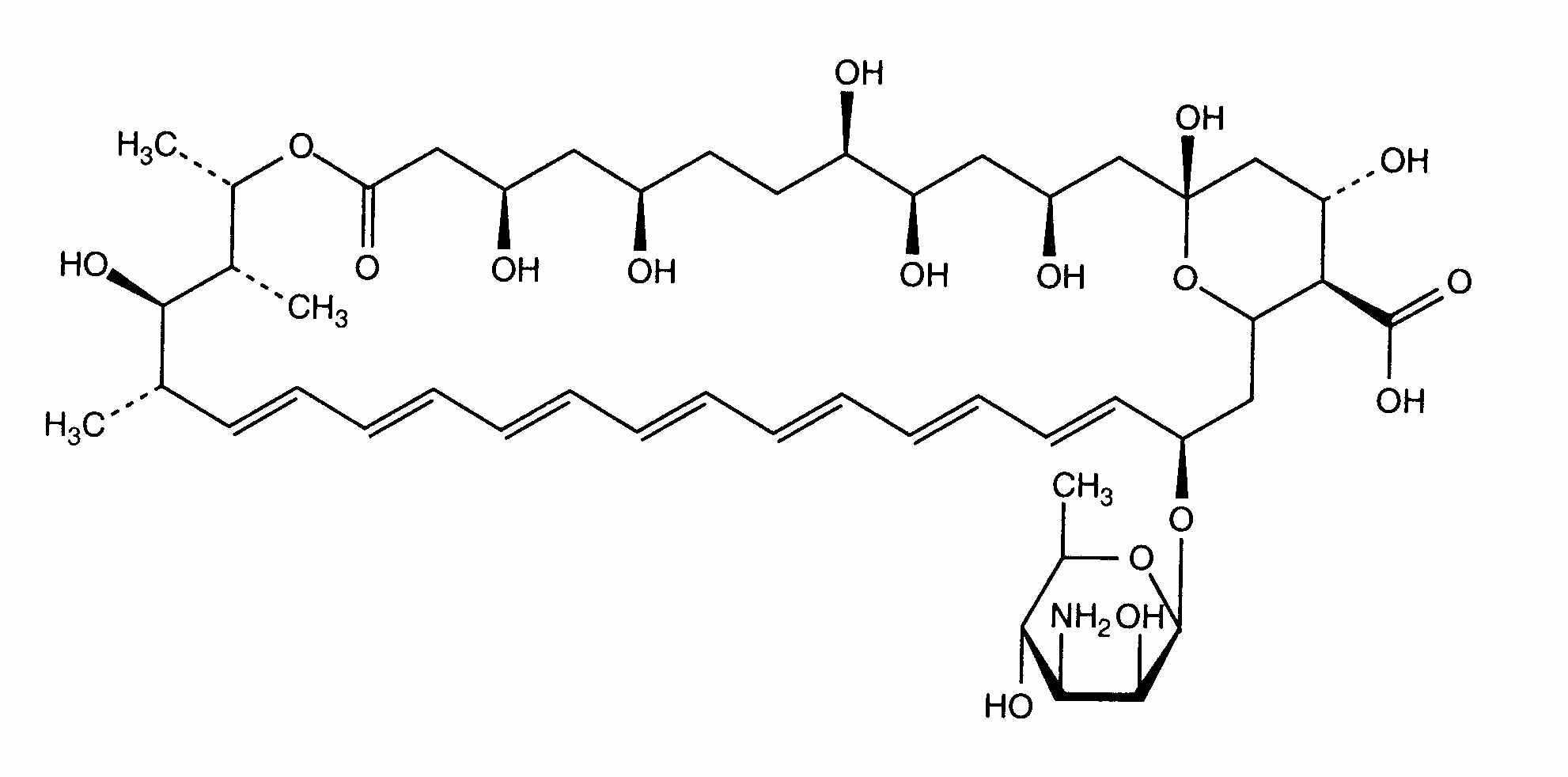
Antifúngico   Amphotericin B liposomale  
solução oftálmica
injetável
Estabilidade de preparações farmacêuticas Estabilidade em misturas Factores que afectam a sua estabilidade Compatibilidade Bibliografía pdf
Liposoma   estrutura química  

solução oftálmica
Compatibilidade   solução oftálmica   Compatibilidade : Amphotericin B liposomale              
Ausência de dados

  Mentions Légales