Seneste opdatering :
27/04/2026
Antisvampe   Amphotericin B liposomale  
Øjendråber
Injektion
Stabilitet af farmaceutiske tilberedninger Stabilitet i blandinger Faktorer der påvirker stabiliteten Kompatibilitet Bibliografi pdf
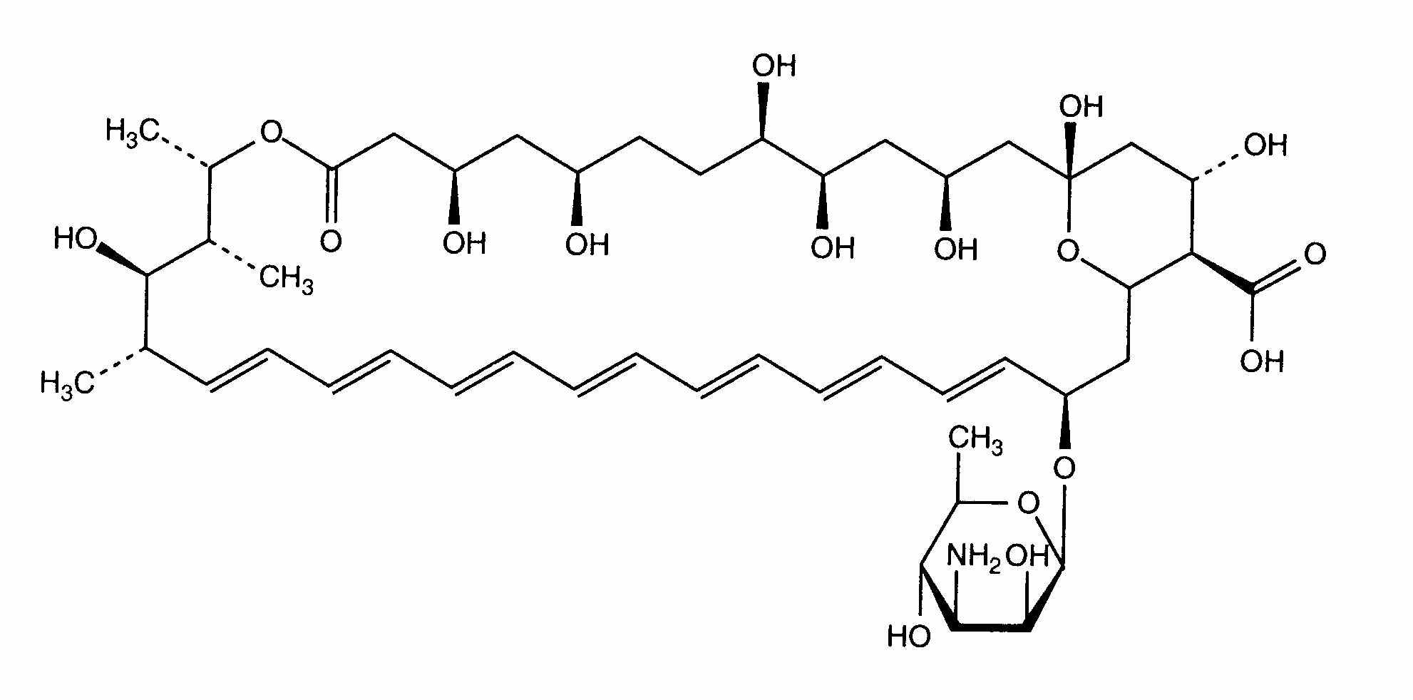
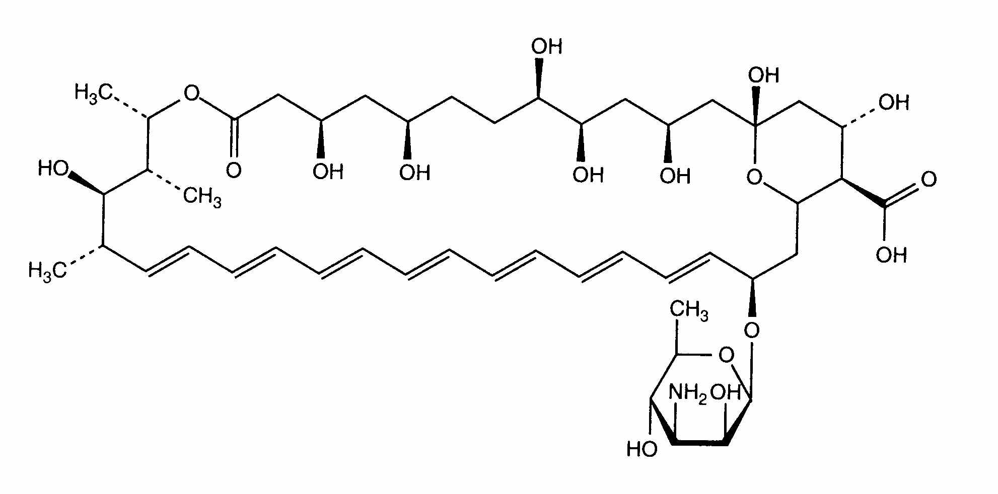
Liposom   Kemisk struktur  

Øjendråber
Kompatibilitet   Øjendråber   Kompatibilitet : Amphotericin B liposomale              
Ingen data

  Mentions Légales