Laatste update :
27/04/2026
Antimycoticum   Amphotericin B liposomale  
Oogwater
injecteerbaar geneesmiddel
Stabiliteit van farmaceutische preparaten Stabiliteit in mengsels Factoren die de stabiliteit beïnvloeden Verenigbaarheden Literatuur pdf
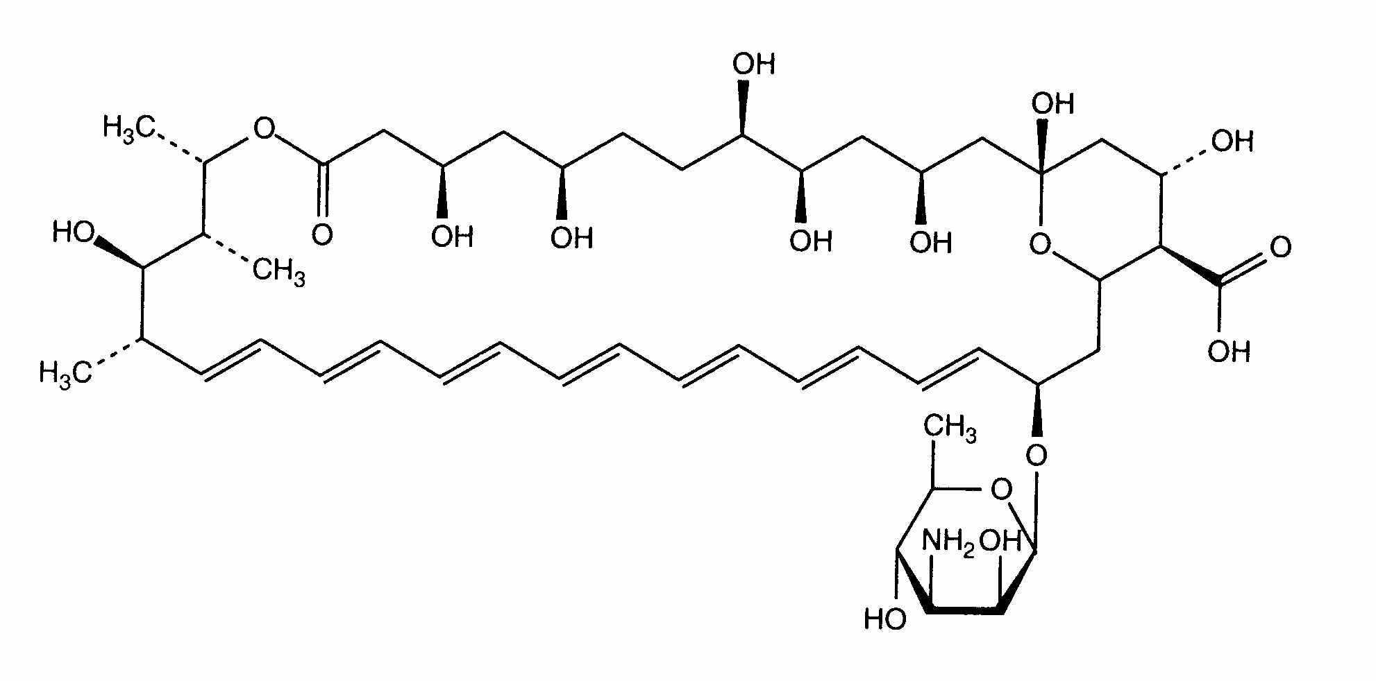
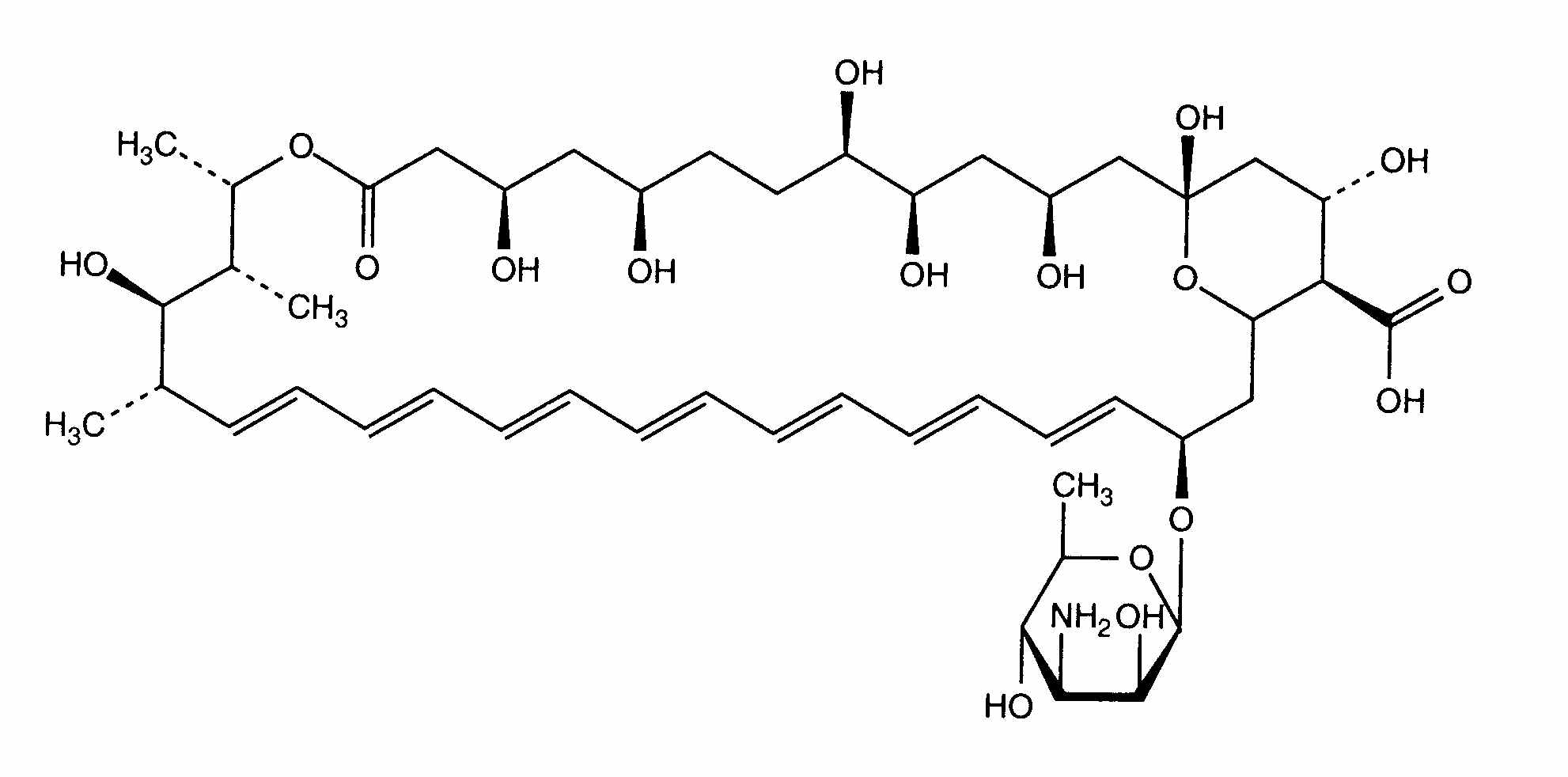
Liposomen   Molecuulstructuur  

Oogwater
Verenigbaarheden   Oogwater   Verenigbaarheden : Amphotericin B liposomale              
geen gegevens

  Mentions Légales