Última actualización :
27/04/2026
Antifúngico   Amphotericin B liposomale  
Gotas oculares
Inyectables
La estabilidad de las preparaciones farmacéuticas Estabilidad en mezcla Factores que influyen sobre la estabilidad Compatibilidades Bibliografía pdf
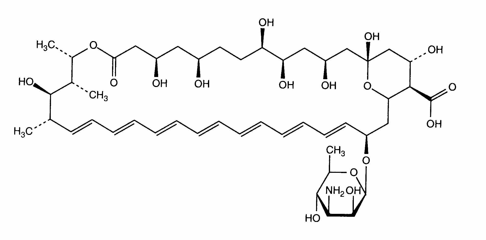
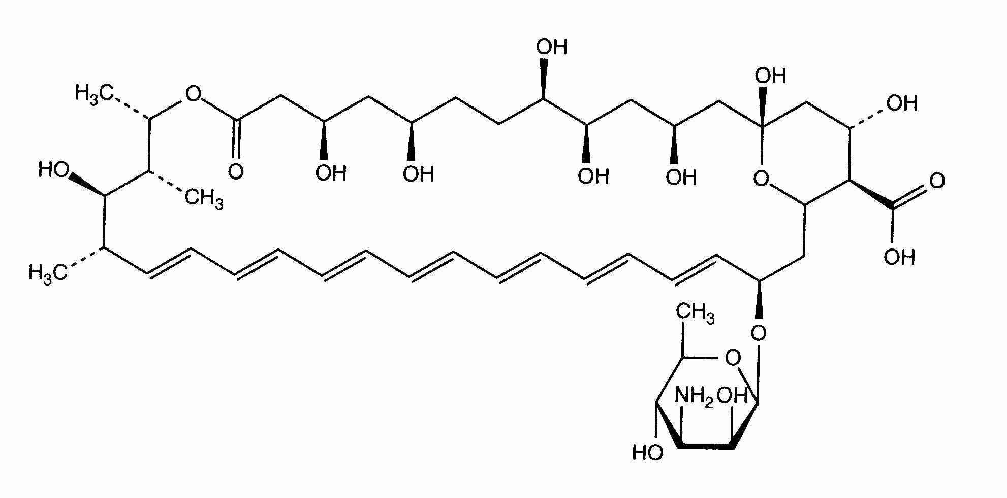
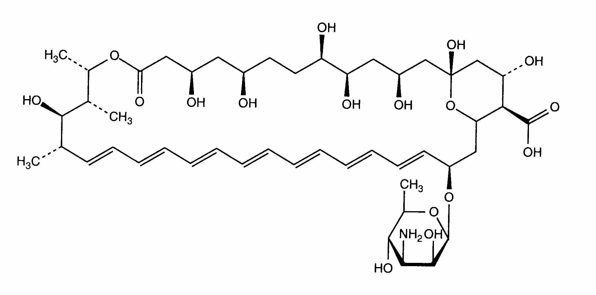
Liposoma   Estructura química  

Gotas oculares
Compatibilidades   Gotas oculares   Compatibilidades : Amphotericin B liposomale              
Ausencia de datos

  Mentions Légales