Останнє оновлення :
27/04/2026
Протипаразитарний   Artesunate  
супозиторій
ін'єкція
Стабільність фармацевтичних препаратів Стійкість сумішей Фактори, що впливають на стабільність Сумісність Список літератури pdf
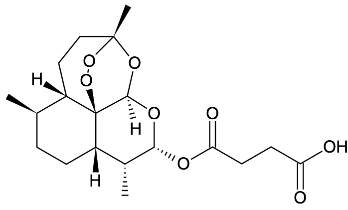
   Хімічна структура  

супозиторій

Фактори, що впливають на стабільність   супозиторій   Фактори, що впливають на стабільність : Artesunate        
7 / 5 000 Résultats de traduction Немає даних

  Mentions Légales