Ultimele actualizari :
27/04/2026
Antiparazitar   Artesunate  
Supozitoare
Injectabil
Stabilitatea preparatelor farmaceutice Stabilitatea in amestec Factorii care influenteaza stabilitatea Compatibilitate Bibliografie pdf
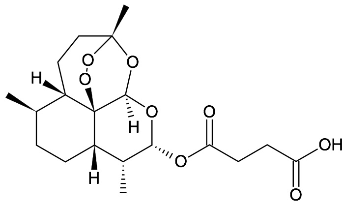
   Formula chimica  

Supozitoare

Factorii care influenteaza stabilitatea   Supozitoare   Factorii care influenteaza stabilitatea : Artesunate        
Absenta de date

  Mentions Légales