Última actualização :
27/04/2026
Antiparasitario   Artesunate  
supositório
injetável
Estabilidade de preparações farmacêuticas Estabilidade em misturas Factores que afectam a sua estabilidade Compatibilidade Bibliografía pdf
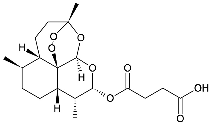
   estrutura química  

supositório

Factores que afectam a sua estabilidade   supositório   Factores que afectam a sua estabilidade : Artesunate        
Ausência de dados

  Mentions Légales