Poslední aktualizace :
27/04/2026
Priešparazitinis vaistas   Artesunate  
Žvakutė
Įpurškimas
Stabilumas farmacinių preparatų Mišinių stabilumas Stabilumą lemiantys veiksniai Suderinamumas Bibliografija pdf
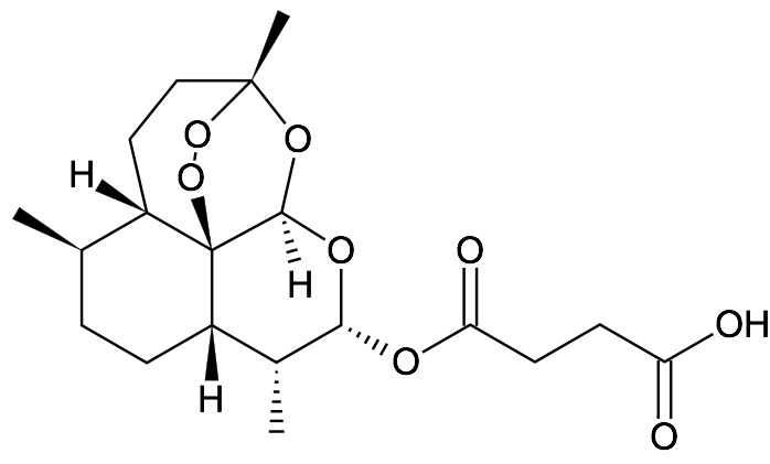
   Cheminė sandara  

Žvakutė

Stabilumą lemiantys veiksniai   Žvakutė   Stabilumą lemiantys veiksniai : Artesunate        
Nėra duomenų

  Mentions Légales