Poslední aktualizace :
27/04/2026
Antiparazitikum   Artesunate  
čípky
injekce
Stabilita farmaceutických přípravků Stabilita směsí Faktory ovlivňující stabilitu Kompatibilita Odkazy pdf
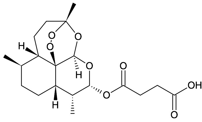
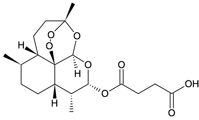
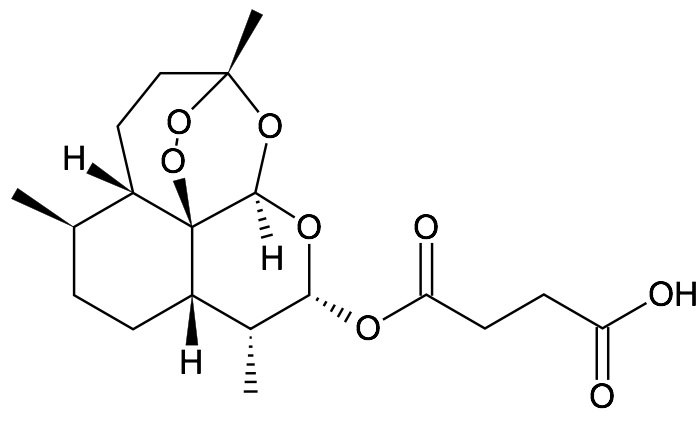
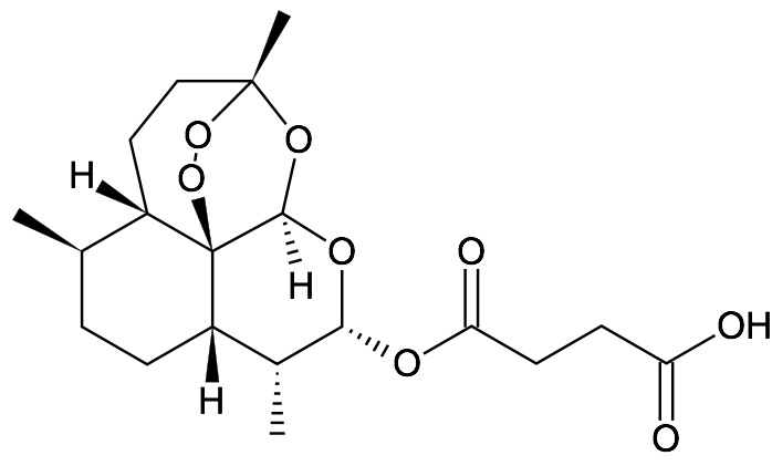
   Chemický vzorec  

čípky

Faktory ovlivňující stabilitu   čípky   Faktory ovlivňující stabilitu : Artesunate        
žádná data

  Mentions Légales