Dernière mise à jour :
27/04/2026
Antiparasitaire   Artesunate  
Suppositoires
injectable
Stabilité des préparations Stabilité en mélange Facteur influençant la stabilité Compatibilités Bibliographie pdf
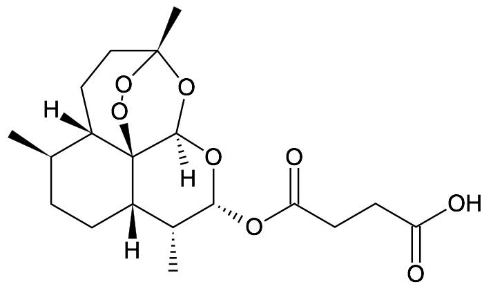
   Structure chimique  

Suppositoires

Facteur influençant la stabilité   Suppositoires   Facteur influençant la stabilité : Artesunate        
Aucune donnée

  Mentions Légales