Senaste uppdateringen :
27/04/2026
Antiparasitärt medel   Artesunate  
Stolpiller
injektion
Stabilitet av läkemedel Stabilitet i blandningar Faktorer som påverkar stabiliteten Kompatibilitet Hänvisningar pdf
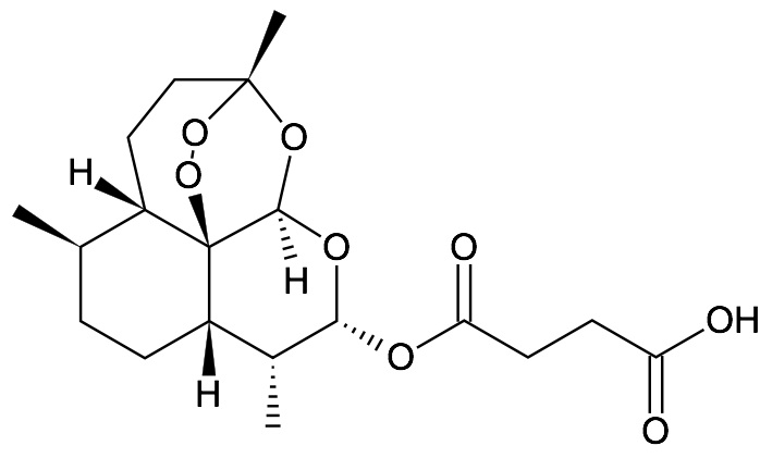
   Molekylstruktur  

Stolpiller

Faktorer som påverkar stabiliteten   Stolpiller   Faktorer som påverkar stabiliteten : Artesunate        
Ingen uppgift

  Mentions Légales