Última actualización :
27/04/2026
Antiparasitario   Artesunate  
Supositorio
Inyectables
La estabilidad de las preparaciones farmacéuticas Estabilidad en mezcla Factores que influyen sobre la estabilidad Compatibilidades Bibliografía pdf
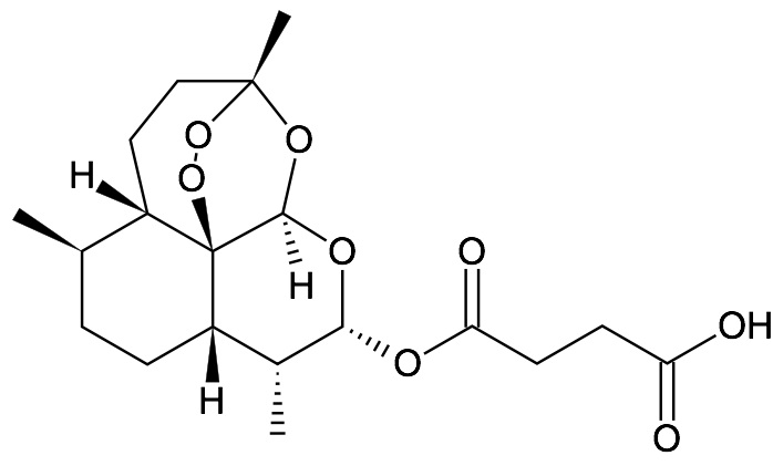
   Estructura química  

Supositorio

Factores que influyen sobre la estabilidad   Supositorio   Factores que influyen sobre la estabilidad : Artesunate        
Ausencia de datos

  Mentions Légales