Posledná aktualizácia :
27/04/2026
antiparazitikum   Artesunate  
Čapík
Injekcia
Stabilita farmaceutických prípravkov Stabilita v zmesiach Faktory ovplyvňujúce stabilitu Kompatibility Odkazy na literatúru PDF
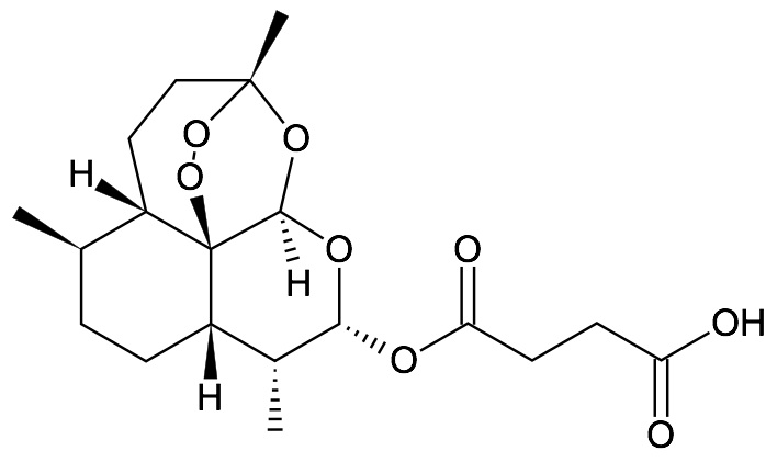
   Chemický vzorec  

Čapík

Faktory ovplyvňujúce stabilitu   Čapík   Faktory ovplyvňujúce stabilitu : Artesunate        
žiadne údaje

  Mentions Légales