viimane versioon :
27/04/2026
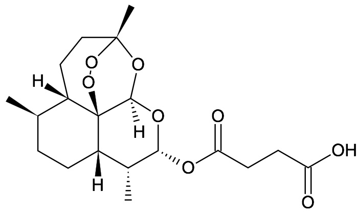
Parasiidivastane ravim   Artesunate  
ravimküünal
Süsteravim
Stabiilsust ravimpreparaadid Stabiilsust mõjutavad tegurid stabiilsust mõjutavad faktorid Sobimatus Viited pdf
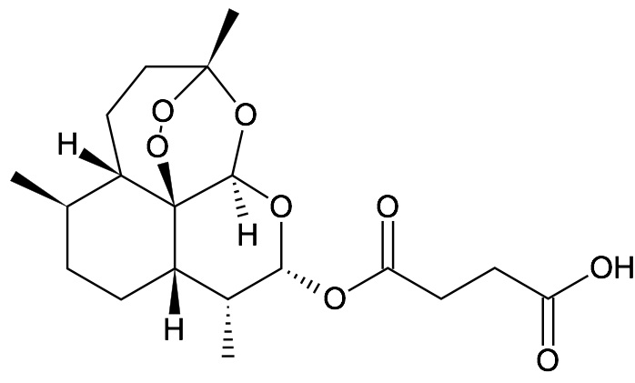
   keemiline struktuur  

ravimküünal

stabiilsust mõjutavad faktorid   ravimküünal   stabiilsust mõjutavad faktorid : Artesunate        
andmed puuduvad

  Mentions Légales