Son güncelleme :
27/04/2026
Antiparazitik   Artesunate  
Fitil
Enjeksiyon
Farmasötik preparatlar Kararlılığı Karışımlardaki stabilitesi Stabiliteyi etkileyen faktörler Uyumluluk Kaynaklar pdf
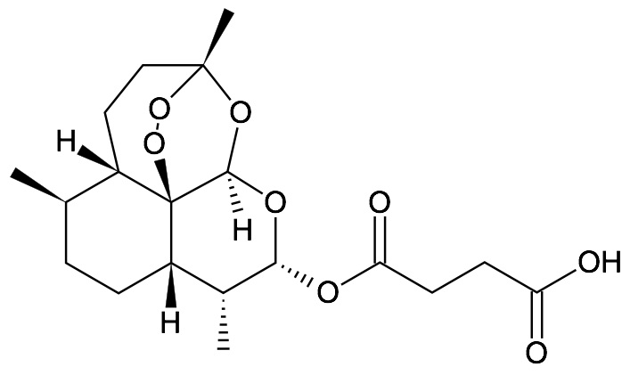
   Kimyasal yapı   

Fitil

Stabiliteyi etkileyen faktörler    Fitil   Stabiliteyi etkileyen faktörler : Artesunate        
veri yok

  Mentions Légales