Pēdējā atjaunošana :
27/04/2026
Pretparazītu līdzeklis   Artesunate  
Supozitorijs
Injekcija
Stabilitāte farmaceitisko preparātu Maisījuma stabilitāte Stabilitāti ietekmējoši faktori Saderība Literatūras saraksts pdf
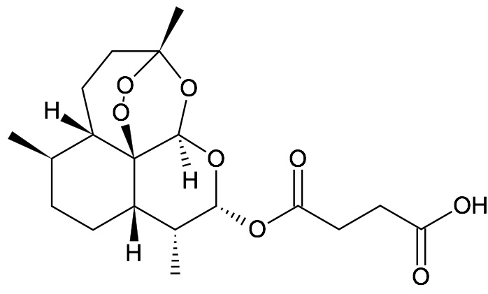
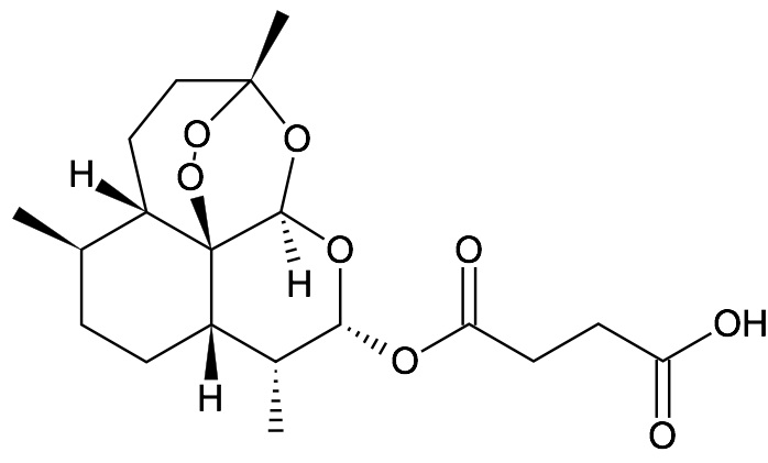
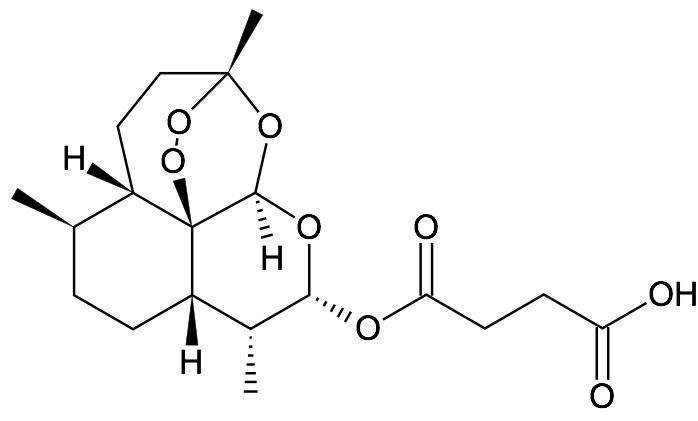
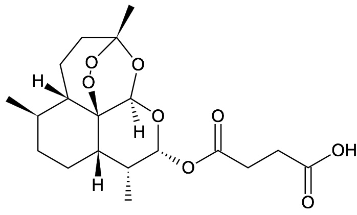
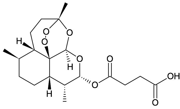
   Ķīmiskā uzbūve   

Supozitorijs

Stabilitāti ietekmējoši faktori   Supozitorijs   Stabilitāti ietekmējoši faktori : Artesunate        
Nav datu

  Mentions Légales