آخر تحديث :
27/04/2026
مضاد للطفيليات   Artesunate  
تحميلة
حقن
استقرار المستحضرات الصيدلانية استقرار مخاليط العوامل التي تؤثر على الاستقرار التوافق مراجع pdf
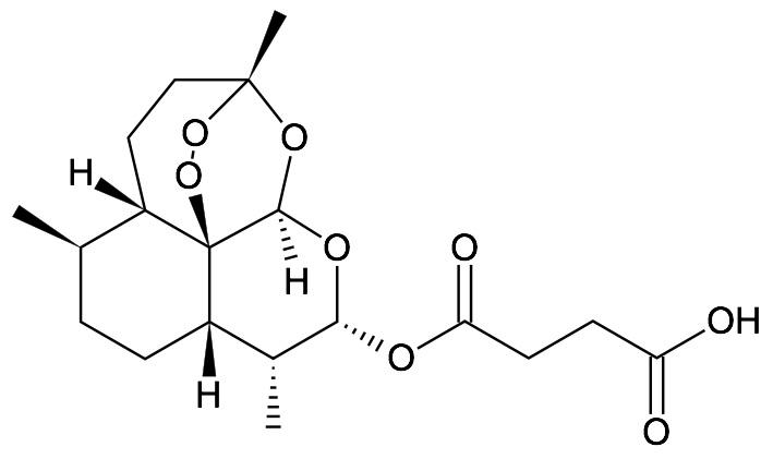
   التركيب الكيميائي  

تحميلة

العوامل التي تؤثر على الاستقرار   تحميلة   العوامل التي تؤثر على الاستقرار : Artesunate        
لا توجد بيانات

  Mentions Légales