Ultimo aggiornamento :
27/04/2026
Antiparassitario   Artesunate  
supposta
Iniezione
Stabilità dei preparati farmaceutici Stabilità in miscela Fattori che influenzano la stabilità Compatibilità Bibliografia pdf
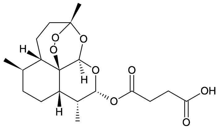
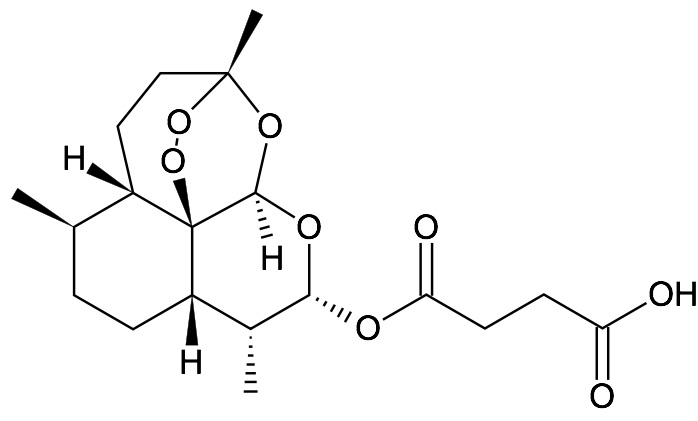
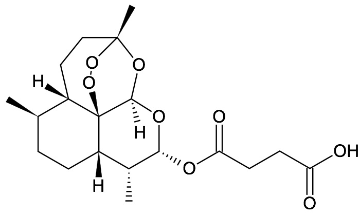
   Struttura chimica  

supposta

Fattori che influenzano la stabilità   supposta   Fattori che influenzano la stabilità : Artesunate        
Assenza di dati

  Mentions Légales